-
물리학 실험 예비 보고서_11. 광섬유를 이용한 빛의 속도 측정_Ver1_200524_R0물리학 실험 족보 2020. 5. 24. 20:23
1.실험제목
광섬유를 이용한 빛의 속도 측정
2.실험목적
광섬유를 이용하여 빛의 속도를 측정한다.
3.기본이론
㉮빛의 전반사
빛이 물질의 경계면에서 모두 반사하는 현상으로써 아래의 그림에 잘 나타나 있다.

그림 1 밀한 물질에서 소한물질로 갈 때의 빛의 전반사. 빛이 굴절률이 큰 쪽에서 작은 물질쪽으로 입사하면 굴절각이 입사각보다 커진다. 이때 입사각이 커짐에 따라 굴절각도 커지다가 굴절각이 90°가 될 때의 입사각을 임계각이라고 한다. (e의 경우) 빛이 밀한 물질에서 소한 물질로 임계각보다 더 큰 각으로 입사할 때에만 전반사가 일어난다. (f, g의 경우)
㉯굴절의 법칙 유도
굴절은 매질 속에서 빛의 속도가 느려지기 때문이라고 하였다. 그러면, 이 기본 원리로부터 스넬의 굴절법칙을 유도해 보자.

이 그림에서

이고,

이 된다.
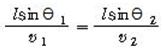
그러면, 각각 빛이 가는 데 걸린 시간

이고,

이다.
이때,

이므로,

가 되고,

이 된다.
따라서,

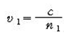
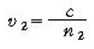
이 된다. 이때 매질 속에서 빛의 속도는 진공에서의 빛의 속도(c)보다 느리므로,
느린 정도를 굴절율로 나타내면,

이고,

이다.
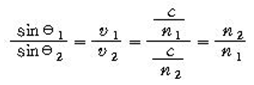
따라서,

이다.
따라서,

이 된다. 여기서

가 90도 이면 아래 의 식이 유도 되고 ,

식이 성립되며 공기와 유리의 상대굴절율이 1.5정도 되므로 각도

는 약 41.8이 된다.
㉰굴절률
빛의 속도는 매질 속에서 진공 중의 속도보다 작다. 속도는 매질에 따라 달라 진공 중의 속도와의 비를 굴절률이라 한다. 굴절률에는 절대굴절률과 상대굴절률이 있으며 알아보도록 하자.
1)절대굴절률
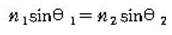
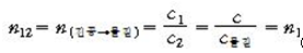
- 진공에 대한 어떤 매질의 굴절률(공기중에서 어떤 매질로 빛이 굴절할때의 굴절률은 거의 절대굴절률과 같다.) 공기(진공)에서 매질로 빛이 입사할때의 굴절률을 절대굴절률이라 한다. 가령 빛이 두 매질의 경계면에서 굴절하는 아유는 빛의 전파속력이 매질에 따라 다르기 때문이다. 매질1에서 빛의 속력을 C1, 2에서의 빛의 속력을 C2라 할 때, 매질1에 대한 2의 굴절률은 다음과 같다.

특히 진공에서의 빛의 속력을 라하고 어떤 물질 속에서의 빛의 속력을 C물질이라 하면 이때의 굴절률을 절대 굴절률이라 하고 다음과 같이 나타낸다.

( 빛이 진공에서 물질 속으로의 진행시의 굴절률) 그러므로, 매질1에서 매질2로 빛이 진행할 때,

의 관계가 성립한다.
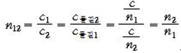
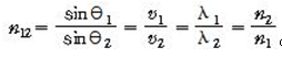
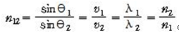
2) 상대굴절률
- 매질1에서 매질2로 빛이 진행할 때 매질1에서의 광속을 V1, 빛의 파장을 λ1, 매질2에서의 속력을 V2라 하면 빛이 굴절할 때, 진동수는 변하지 않으므로 제1매질에 대한 2매질의 상대굴절률은

이다.
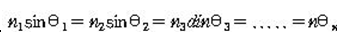
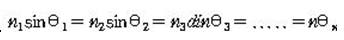
따라서 굴절률이 다른 두 개 이상의 매질이 서로 평행한 경계면을 이루고 있을 때 다음 관계식이 성립한다.

그리고 우리가 구하려는 굴절률은 아래식이다.
3)굴절률: n=c/v (매질 속에서는 진동수가 변하지 않으므로 파장이 짧아진다.)
㉱빛의 속도
빛의 속력을 직접 측정하려고 노력한 최초의 사람은 이탈리아의 갈릴레이(Galilei)이다. 갈릴레이는 불빛과 차단기를 이용하여 빛이 진행한 거리와 이에 걸린 시간으로 빛의 속도를 측정하려 하였다. 그러나 측정 과정의 오차가 너무 커서 결국 얻은 결과는 빛은 ‘매우 빠르다’라는 결론을 얻었을 뿐이다. 그 후 속도 값을 맨 처음 측정한 것은 1676년 뢰머(Römer)가 목성의 위성 주기를 관측하여 얻은 것이다. 이러한 빛의 속도를 실험적으로 측정한 대표적 예는 아래 표와 같다.
연도
실험자
국가
실험방법
속력(108m/s)
불확정도
1600
갈릴레이
이탈리아
전등과 셔터
‘빠름’
?
1676
뢰머
프랑스
목성의 위성
2.14
?
1729
브래들리
영국
빛의 수차
3.08
?
1849
피조
프랑스
톱니바퀴
3.14
?
1879
마이켈슨
마이켈슨
미국
미국
회전거울
회전거울
2.99910
2.99798
75000
22000
1950
이슨
영국
마이크로파공동
2.997925
1000
1958
프룸
영국
간섭계
2.997925
100
1972
이벤슨외
미국
레이저방법
2.997924574
1.1
1974
블래니외
영국
레이저방법
2.997924590
0.6
1976
우즈 외
영국
레이저방법
2.997924588
0.2
1983
국제적으로 채택된 값
2.99792458
정확
표에서 보는 바와 같이 톱니바퀴, 회전거울의 방법으로부터, 레이저 방법을 이용하기까지 여러 단계의 측정 기술의 발전으로 빛의 속도 측정값의 정밀도는 점차로 증가하여, 1983년 제 17차 국제 도량형 총회에서 빛의 속도 c는 c=299,792,458(m/s) 로 채택하게 되었다. 빛의 속도의 측정 방법으로는 위와 같은 직접적인 측정 방법과는 달리 전자기 상수의 비를 이용하여 다음 식

으로부터 빛의 속도를 구하는 방법도 발전되어 있으며, 또 마이크로파 영역의 복사파를 이용하여 복사파의 파장 λ와 진동수 v를 측정하여 c=λv의 관계식으로부터 빛의 속력을 구하는 마이크로파를 이용하는 방법도 발전되어 있다. 빛의 속도 c는 물리학 기본 상수중의 하나로서, 가장 철저하고 정확하게 측정되어 있으며, 아인슈타인의 상대성 이론에 있어서 가장 중심이 되는 상수이다. 물리학 실험에서 이용할 빛의 속도 식은 광섬유측정에

알맞게 바꾼 위의 식이며 C는 진공에서의 빛의 속도이며 n은 광섬유의 굴절률, l은 광섬유의 길이 마지막으로 t는
광섬유의 시간간격이다.
4.참고문헌
1) 김기식외 15인, 대학물리학, (인하대 출판부, 인천, 1999)
2) 대학 물리학, Francis W. Sears외 2인, 대웅
3) 물리학총론 2부, David Halliday 외 1인, 교학사(1992년)
5.기구 및 장치
1) 빛의 속도 측정장치
2) 9V DC 어댑터
3) 광섬유 15Cm, 20m
4) 오실로스코프 (>20 MHz)
5) 오실로스코프 프로브 2개
6.실험방법
1)오실로스코프의 세팅
a, Triggering Mode Switch를 Auto에 놓는다.
b, Triggering Source Switch를 채널 1에 놓는다.
c, Triggering를 Positive Slope에 놓는다.
d, 채널 1의 Volts/Div를 1Volts/Div에 놓는다.
e, 채널 2의 Volts/Div를 0.5Volts/Div에 놓는다.
f, 각 채널의 input를 AC에 놓는다.
g, Time/Div는 0.2u에 놓는다.
2) 채널 1의 프로브를 빛의 속도 장치의 "Reference"와 “GND"측정 단자에 연결한다.
3) 채널 2의 프로브를 “Delay"와 "GND"측정 단자에 연결한다.
4) 채널의 입력 단자를"GND(ground)"에 놓는다.
5) 빛의 속도 장치용 어댑터를 연결한다. 황색 LED에 불이 들어오는지 확인한다. 또한 D3(광섬유 LED)에도 불이 들어오는지 확인한다.
6) "Calibration Delay" 손잡이를 12시 방향으로 돌린다.
7) 15 cm 광섬유를 D3 와 D8에 연결한다.
8) 채널 2의 입력을 접지에서 AC coupling에 놓는다. 채널 2의 펄스는 1~1.5 V , 75 ns의 범위가 될 것이다. 채널 1와 채널 2의 펄스를 오실로스코프 상에서 맞춘다.
9) 오실로스코프의 Time/Div를 0.2u에 놓는다. 15cm광섬유를 조심스럽게 제거하고 20m 광섬유를 연결한다.
10) Reference 펄스와 delay펄스의 간격을 측정하고 기록한다.
'물리학 실험 족보' 카테고리의 다른 글
물리학 실험 예비 보고서_10. 프랑크헤르쯔_Ver1_200524_R0 (0) 2020.05.24 물리학 실험 예비 보고서_09. 빛의 간섭 및 굴절_Ver1_200524_R0 (0) 2020.05.24 물리학 실험 예비 보고서_08. 편광과 브루스터각도_Ver1_200524_R0 (0) 2020.05.24 물리학 실험 예비 보고서_07. 빛의 굴절 및 반사_Ver1_200524_R0 (0) 2020.05.24 물리학 실험 예비 보고서_04. 지구자기장 실험_Ver1_200524_R0 (0) 2020.05.24