-
물리학 실험 예비 보고서_07. 빛의 굴절 및 반사_Ver1_200524_R0물리학 실험 족보 2020. 5. 24. 19:01
1. 실험제목 : 빛의 굴절 및 반사
2. 실험목적 : 레이저를 이용하여 빛의 굴절 및 굴절 법칙을 실험. 임계각을 구하여 물질의 굴절률을 알아본다.
3. 실험이론 :
1. 빛에 대하여
(1)정의
비교적 파장이 짧은 전자기파(電磁氣波)로서 본래는 파장이 0.4∼0.75μm인 가시광선을 말하나 넓은 뜻으로는 자외선과 적외선도 포함한다. 전파속도는 진공 중에서 초속 약30만km(299790.2±0.9km/s)에 달하며 물질 중에서는 이것의 1/n(n은 물질의 굴절률)이다. 진공 속에서의 빛의 속도는 보통 c로 표시되며 물리이론에 있어 중요한 의미를 가지는 상수로 취급된다.
음파나 무선용 전파에 비하여 파장이 짧아 균일한 매질 내에서는 거의 직진한다. 이 때문에 빛의 흐름 폭이 파장에 비교하여 좁거나, 광학적인 상(像)의 주변부분을 자세히 조사하는 등, 파동에 특유한 회절현상이 영향을 주는 경우를 제외하면, 빛을 직진하는 선으로 볼 수 있다. 이와 같이 생각할 때의 빛을 광선(光線)이라 하고, 이에 반하여 빛을 파동으로 고찰하는 경우에는 광파(光波)라 한다. 또한 일정한 파장의 빛은 각각의 파장에 대응하는 색감(色感)을 주게 되므로 파장이 모두 같은 빛을 단색광(單色光), 단색광이 혼합된 보통 빛을 복합광(複合光)이라 한다. 복합광은 프리즘이나 회절격자로 단색광으로 나눌 수가 있으며, 이렇게 나누어 배열한 것을 빛의 스펙트럼이라고 한다.
(2)특징
1. 빛의 직진
빛은 에너지의 한 형태이며, 동일 매질 내에서는 직진한다.
2. 빛의 본성
① 빛의 입자설
뉴턴에 의해 주장되었으며, 빛은 매우 작은 입자의 흐름이라고 생각하였다. 직진, 반사, 굴절 등은 잘 설명할 수 있으나 회절 등의 성질을 설명할 수 없다.
② 빛의 파동설
호이겐스 등에 의해 빛은 파동이라고 주장되었고, 영, 프레널 등에 의한 간섭 현상의 관측과 푸코의 물 속에서의 광속 측정으로 파동설이 지지를 받았다.
③ 빛의 전자기파설
맥스웰은 빛은 전자기파의 일종이며, 헤르츠의 실험으로 입증되었다.
④ 빛의 광량자설
아인슈타인에 의해 주장되었다. 광전 효과를 설명하면서 빛은 에너지 덩어리로서의 광량자라고 주장하였으며, 콤프턴 효과 등에 의해 지지를 받았다.
⑤ 빛의 이중성
빛은 전자기파로서의 파동성과 광량자로서의 입자성을 동시에 가진다.
3. 빛의 속도
광속 측정은 뢰머, 피조, 마이컬슨 등에 의해 이루어졌다.
① 광속도 측정
• 인류 최초의 측정 : 뢰머(천문학적 방법)
• 지상에서 최초 측정 : 피조
• 실험실에서 최초 측정 : 푸코
• 정밀 측정 : 마이컬슨
2. 반사와 굴절
반사와 굴절을 알아보기 위해서 페르마의 원리를 알아보도록 하자
<페르마의 원리>
빛은 두 지점 사이를 진행할 때 무수히 많은 경로 중에서 가장 시간이 적게 걸리는 경로를 따라서 진행한다는 원리가 페르마의 원리이다.

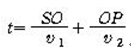
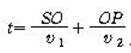
위 그림에서 빛이 S에서 O점으로 통해 P점으로 간다고 하자.
그러면 빛이 진행하는 데 걸리는 시간

이때,

이고,

이므로,

가 된다. 이제, 최소 시간이 되는 x점을 찾으면 되므로,

를 만족하는 x를 찾으면 된다.


이다.
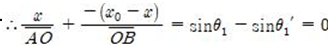
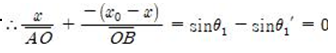
(1)빛의 반사

반사의 법칙으로 인하여 θ1과 θ1'는 같다. 그렇다면 이 공식을 유도하여 보자. 위에서 파르마의 원리를 보았듯이 최소작용식은

이다.

그림3에서 보여 지는 문자들을 위의 파르마의 원리식에 대입하면

이 된다.

이며

이다.
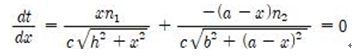
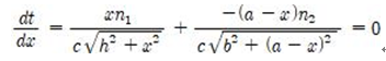
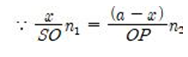
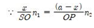
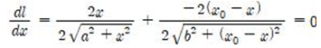
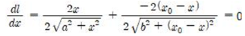
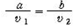
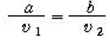
(2)빛의 굴절

위 그림은 굴절광이 빛이 굴절하는 현상을 나타낸 것이다. 이 굴절의 법칙은 를 만족한다. 그렇다면 왜 이러한 식이 유도 되는지 알아보도록 하자.
<굴절의 법칙의 유도>
굴절은 매질 속에서 빛의 속도가 느려지기 때문이라고 하였다. 그러면, 이 기본 원리로부터 스넬의 굴절법칙을 유도해 보자.

이 그림에서

이고,

이 된다.
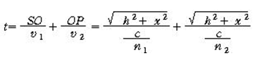
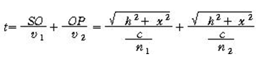
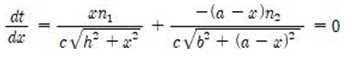
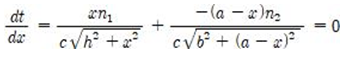
그러면, 각각 빛이 가는 데 걸린 시간

이고,

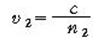
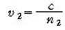
이다.
이때,

이므로,

가 되고,

이 된다.
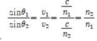
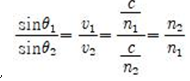
따라서,

이 된다.
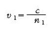
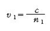
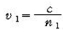
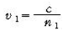
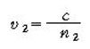
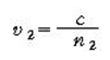
이때 매질 속에서 빛의 속도는 진공에서의 빛의 속도(c)보다 느리므로, 느린 정도를 굴절율로 나타내면,

이고,

이다.
따라서,

이다.
따라서,

이 된다.
또한 임계각이 넘으면 전반사가 일어나는 것이 빛의 특징이다.
4. 실험방법
- 반사 : 평면 거울이 각도기판 중심을 지나고 각도기판에 수직이 되도록 세우고 입사광이 각도기 중심을 향하도록 한다.
입사광과 반사광이 모두 판에 대하여 수평이 되도록 맞춘 후에 극 좌표판을 돌리면서 반사되어 나오는 광선을 스크린에서 찾는다.
- 굴절 : 반사의 경우와 같이 레이져 광을 조절하여 작은 입사각으로부터 각도기를 돌리면서 스크린에서 광선을 찾으며 입사각과 굴절각을 측정한다.

- 임계각 : 굴절 실험 때와 반대로 반원형 프리즘의 둥근 면으로 광선이 입사하도록 하여 입사각을 증가시키며 굴절광이 사라지기 시작하는 입사각까지 계속하여 임계각을 측정한다. 굴절 실험에서 측정한 굴절률을 사용하여 식(3)으로부터 임계각을 계산하여 측정값과 비교하여 본다.

5. 참고문헌
- 대학일반물리학 / 김태만 [외]저 서울 : 탑출판사, 1981.
- 대학 물리학 / Francis W. Sears ; / Mark D. Zemansky ; / Hugh D.Young 共著 ; / 김용은 [외]역 서울 : 대웅, 1996.
- 물리학총론. 2부 / David Halliday ; / Robert Resnick 공저 ; / 김종오 역. 서울 : 교학사, 1992.
- 일반 물리학 실험 홈페이지
'물리학 실험 족보' 카테고리의 다른 글
물리학 실험 예비 보고서_09. 빛의 간섭 및 굴절_Ver1_200524_R0 (0) 2020.05.24 물리학 실험 예비 보고서_08. 편광과 브루스터각도_Ver1_200524_R0 (0) 2020.05.24 물리학 실험 예비 보고서_04. 지구자기장 실험_Ver1_200524_R0 (0) 2020.05.24 물리학 실험 예비 보고서_03. 옴의 법칙 실험_Ver1_200523_R0 (0) 2020.05.23 물리학 실험 예비 보고서_02. 등전위실험_Ver1_200523_R0 (0) 2020.05.23