-
물리학 실험 예비 보고서_08. 편광과 브루스터각도_Ver1_200524_R0물리학 실험 족보 2020. 5. 24. 19:14
1.실험제목
편광과 브루스터 각도
2.실험목적
빛의 편광을 이해하고 경계면에서 빛의 반사 및 굴절에서 나타나는 브루스터 각도에 대해서 알아본다.
3.기본이론
선형 편광 된 빛을 얻어내는 데 가장 많이 사용하는 방법은 원하는 방향으로 진동하는 전기장은 통과시키고 수직 방향으로 진동하는 전기장은 흡수하는 이색성 흡수물질(편광판)을 이용하는 것이다. 가장 대표적인 것이 1938년 랜드 (E. H. Land)에 의해 발명된 얇은 폴라로이드(Polaroid) 판이다. 폴라로이드는 폴리비닐알코올(PVA, Poly-Vinyl Alcohol)에 열을 가한 후 한 방향으로 잡아당겨 길고 거의 수평인 탄화수소 분자체인을 형성시킨 쉬트(sheet)이다. 이 쉬트를 요오드(Iodine)가 포함된 용액에 담가 탄화수소 체인을 따라 긴 요오드 사슬을 형성시킨다. 그러면 전자는 요오드 사슬(chains)을 따라 자유롭게 움직이지만 사슬과 수직방향으로는 거의 움직이지 못한다.

그림 1. 편광판의 원리 따라서 그림 1과 같이 이러한 편광판에 광이 입사하면, 사슬과 평행한 성분의 광의 전기장은 사슬 내의 전자를 사슬방향
(그림 1에서는 z 방향)으로 진동시키기 때문에 사슬방향의 전기장 성분은 편광판을 통과하지 못하게 된다. 반면에 사슬과 수직방향 성분(여기서는 y 방향)의 전기장에서는 전자가 반응하지 못하므로 자유롭게 투과된다. 분자의 사슬방향과
수직인 방향을 투과축이라 부르며, 이상적인 편광판은 투과축과 수직으로 진동하는 전기장을 갖고 있는 빛은 모두 흡수하고 투과축을 따라 진동하는 전기장을 갖고 있는 빛만 투과시킨다.

그림 2. 편광판에 의한 편광 그림 2와 같이 편광 되지 않은 광이 편광판을 통과하면, 투과축 방향으로 진동하는 전기장을 갖는 선형 편광 된 광을 얻을 수 있다. 그리고 편광판을 회전시키면 각각 투과축 회전 방향에 따른 선형 편광 된 광을 얻을 수 있다. 이때 측정된 광의 세기는 비편광 된 광의 일부만 투과시켰으므로 감소한다. 선형편광 된 광을 또 다른 편광판(검광판)에 입사시키면 편광판의 투과축과 광의 선형편광 방향 사이의 각 θ에 따라 투과하는 광의 세기가 변화한다. 즉, 입사하는 선형편광 된 광의 전기장의 진폭을 Ea라 하면, 편광판의 투과축과 나란한 전기장만이 편광판을 투과할 수 있으므로 투과된 광의 전기장 진폭은 Eacosθ가 된다. 이때, 투과된 광의 세기 <I>를 광검출기로 측정하면, 광의 세기는 전기장 진폭의 제곱에 비례하므로 다음과 같다.

여기서, Ia는 입사광의 세기이다. 이 식을 Malus 법칙이라고 한다. 일반적으로 비편광 된 광에서 편광을 얻는데 사용되는 판을 편광판(polarizer)이라 부르고, 편광된 광의 편광상태를 검사하는데 사용되는 판을 검광판(analyzer)이라 부른다.

비편광된 광이 투명한 유전체에 의해서 반사와 굴절(투과)을 할 때, 반사광과 투과광에 포함되어 있는 수직편광(S 편광)과 수평편광(P 편광)의 상대적인 크기는 입사각의 크기에 따라 변화된다. 자연광이 투명한 물질에서 반사와 굴절
을 일으킬 때 반사광선과 굴절광선이 90도를 이루는 입사각을 편광각 또는 부르스터각 (Brewster angle)이라 한다.
즉, 입사각 ( θi )과 굴적각( θo )의 합이 직각이 될 때, 투과광은 부분 편광 되지만 반사광은 완전히 수직편광 (S 편광)된다. 한편, 투명한 유전체에서 수평편광과 수직편광에 대한 반사 계수 ( r )는 다음과 같다.

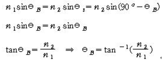
수식에서 θi + θt = π/2 이면 tan(θi + θt)= ∞가 ri는 0이 된다. 그리고 매질의 굴절률을 각각 n1, n2라 하고 입사각과 굴절각을 각각 θB, θ라 하면 θi = 90˚- θi가 되고, Snell의 법칙으로부터 브루스터각을 구하면 다음과 같다.

이 현상은 1812년 D. Brewster경이 실험적인 방법으로 최초로 발견하였으며, 그를 기념하여 θE를 브루스터 각이라고 한다. 따라서 완전히 입사평면에 수평방향으로 선형편광 된 광을 유리창에 브루스터각으로 입사시키면 반사 없이 모두 투과되게 된다. 이러한 특성을 레이저 공진기에 적용시키면, P 편광만이 공진기내를 왕복하게 되어 레이저 출력은 P 편광 된 광선만 나오게 된다.
4.참고문헌
1) 김기식외 15인, 대학물리학, (인하대 출판부, 인천, 1999)
2) 매질의 굴절특성 실험장치, 구을현, 대덕광학기기
3) 현대 광학, 서울대 광학연구회, 교문각
4) 일반물리학실험, 한국물리학회, 청문각(1997년)
5.기구 및 장치
1) He-Ne 레이저
2) 이중 슬릿
3) 스크린
6.실험방법
1) Malus's law
(1) 레이저를 입사시키지 않았을 때, 광 검출기에 걸리는 전압을 측정한다.
(2) 레이저 앞에 두 개의 편광자를 설치한다.
(3) 두 편광자의 편광축 간의 각도를 변화시키며 광 검출기에 걸리는 전압을 측정한다.
2) 브루스터 각도
(1) 레이저 앞에 편광자를 설치하고 편광각을 조절하여 수직성분 또는 수평성분을 걸러낸다.
(2) 입사각을 0도로 맞추고, 레이저가 렌즈의 중심에 입사하도록 정렬시킨다.
(3) 입사각을 변화시켜가며 반사광에 의해 광 검출기에 걸리는 전압을 측정한다.
(4) 브루스터 각도를 측정하고 계산치와 비교한다.
'물리학 실험 족보' 카테고리의 다른 글
물리학 실험 예비 보고서_10. 프랑크헤르쯔_Ver1_200524_R0 (0) 2020.05.24 물리학 실험 예비 보고서_09. 빛의 간섭 및 굴절_Ver1_200524_R0 (0) 2020.05.24 물리학 실험 예비 보고서_07. 빛의 굴절 및 반사_Ver1_200524_R0 (0) 2020.05.24 물리학 실험 예비 보고서_04. 지구자기장 실험_Ver1_200524_R0 (0) 2020.05.24 물리학 실험 예비 보고서_03. 옴의 법칙 실험_Ver1_200523_R0 (0) 2020.05.23