-
물리학 실험 예비 보고서_04. 지구자기장 실험_Ver1_200524_R0물리학 실험 족보 2020. 5. 24. 16:09
1.실험제목
지구 자기장
2.실험목적
Biot-Savart 법칙을 이해하고, 탄젠트 검류계릐 검류계 상수와 환원 계수를 결정하여 지구 자기장의 수평 성분을 구한다.
3.기본이론
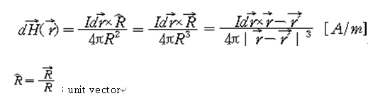
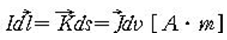
1) Biot-savart 법칙
자유공간상의 한 점에 미소선전류

가 있는 경우 주변의 한 점에서의 미소자계는


미소선전류(differential line current) 또는 미소전류소(differential current element)
=> 길이가 작고, 반경이 무한히 작은 원통도체인 filamentary conductor에 current가 흐르는 것
<미소선전류에 의해 주변에 발생하는 자계〉
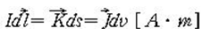
* 전류분표(electric current distributions)
⁃ 선전류(line current) : 선전류밀도

로 분포상태 표시
⁃ 면전류(surface current) : 면전류밀도

로 분포상태 표시
⁃ 체적전류(volume current) : 체적전류밀도

로 분포상태 표시


〈 세 가지 전류분포〉 이 세가지 전류를 Biot-Savart 법칙을 이용해서 나타낼수 있다.
⁃ 선전류일 때 :

⁃ 면전류일 때 :

⁃ 체적전류일 때 :

이제부터는 Biot-Savart 법칙을 응용하여 보자.
2) Biot-Savart‘s law 적용
1. An finitely long, straight, filamentary current(유한장 직선전류)
2. A circuilar loop current(원형전류)
3. 유한길이의 solenoid
Biot-Savart 법칙은 위와 같이 3가지에 적용할 수 있지만 우리가 실험할 부분은 2번쪽이 먼저이므로 원형전류에서 먼저 대하여 알아보도록 하자.
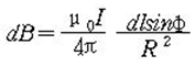
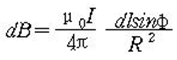
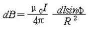
Ⓐ원형코일의 자기장

전류 I가 흐르는 반경 R인 원형 코일중심에서 자기장

는
Biot-Savart 법칙에 의해서 방향은 지면으로부터 나오고 크기는

로 나온다.
미소길이

과 R사이의 각

는 90도 이고

는 투자 상수이다.
각 전류 요소에 의한 자기장은 같은 방향이고 따라서 총 자기장 B는

이다.
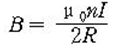
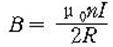
따라서 n회 감긴 원형 코일의 중심에서 자기장 B의 크기는

이다.
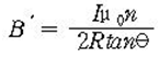
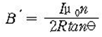
이러한 원형 코일과 코일 중심에 놓인 나침반으로 구성된 탄젠트 검류계에서는 코일에 의한 자기장 B 와 지구 자기장의 수평 성분 B' 에 의한 변화나 나침반의 방향 편차를 측정하여 지구 자기장의 수평 성분을 구한다.
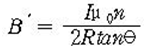
B는 코일에 흐르는 전류에 의한 코일 중심에서의 자기장이고 B'는 코일 중심에서 지구 자기장의 수평성분이라고 할 때 이 두식의 관계는 B=B'tanθ가 된다.

식을 B=B'tanθ 식에 대입하면

가 나와서 B'을 구할 수 있다.
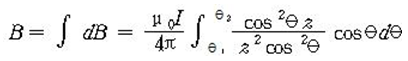
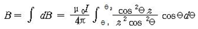
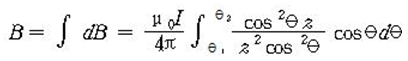
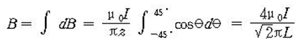
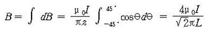
Ⓑ사각 코일 내부에서의 자기장

도선에 흐르는 전류주변의 자기장을 구해보면

이며

이기 때문에

따라서

그러므로 자기장은


이 나오게 된다.


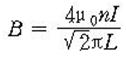
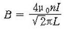
일 경우 4개의 변이 있으므로

이 되고
코일의 감은 횟수가 n일 때

이 된다.
4.참고문헌
1) ENGINEERING ELECTROMAGNETICS : William H. Hayt, McGraw-Hill international edition, 2001, 6th edition 전자기학 :L 윤상원, 박한규 공역 (희중당, 1990, 5th edition)
2) FUNDAMENTALS OF ENGINEERING ELECTROMAGNETICS, David K. Cheng, Addison-Wesley Publishing Company, 1993) 전자기학 : 김남,윤영로,전석희,전호인 공역 (반도출판사,1995)
3) 인하대 인터넷 물리학 실험실
5.기구 및 장치
(1) 원형 탄젠트 검류계 (코일 5회, 10회)
(2) 사각 탄젠트 검류계
(3) 나침반
(4) 직류 전원 공급기
(5) 가변 저항 상자
(6) 줄자
6.실험방법
실험1 . 지구 자기장의 수평성분
(1) 탄젠트 검류계의 중심에서 나침반을 바늘이 지자기의 수평성분과 일치하도록 올려놓는다.
(2) 탄젠트 검류계를 직류 전원 공급기에 연결한다.
(3) 감은수가 5회인 코일에 대하여 전류(I)를 변화시키며 지구 자기장의 방향과 나침반의 바늘 사이의 각()를
측정하여 그래프를 그린다.
(4) 전류 I와 를 종축으로 그래프를 그린다.
(5) 전류 I와 의 그래프로부터 기울기 K를 구한다.
(6) 검류계 상수 G와 환원계수 K로부터 현재의 검류계 위치에서의 지구 자기장의 수평성분 을 계산한다.
(7) 감은 수가 10회인 코일에 대하여 과정 (3)부터 (6)까지 반복한다.
실험2 . 사각 코일 중심에서의 자기장
(1) 실험1에서 얻은 지자기의 수평성분을 이용하여, 사각탄젠트 검류계의 코일 중심에서의 자기장 B를
측정하자
(2) 사각 코일 중심부에 실험1에서와 같은 방법으로 코일의 수평면에 나침반의 NS극을 일치시킨후 검류계의
위치를 조정하여 지구 자기장의 수평성분과 일치 시킨다.
(3) 직규 전원 공급기의 탄젠트 검류계를 연결시킨 후, 전류(I)를 변화시키며 지구 자기장의 방향과 나침반의
바늘사이의 각()를 측정하며 표에 기입한다.
(4) 사각 탄젠트 검류계 중심에서의 자기장을 실험책에 나와있는 식(4)를 이용하여 구한다.
(5) Biot-Savart 법칙에 의하여 한변의 길이가 R인 정사각형 모양의 중심에서의 자기장B를 유도하고
과정(3)에서 측정한 전류 I를 이용하여 자기장 B를 계산해서 이값을 (4)에서 구한값과 비교하여라
'물리학 실험 족보' 카테고리의 다른 글
물리학 실험 예비 보고서_08. 편광과 브루스터각도_Ver1_200524_R0 (0) 2020.05.24 물리학 실험 예비 보고서_07. 빛의 굴절 및 반사_Ver1_200524_R0 (0) 2020.05.24 물리학 실험 예비 보고서_03. 옴의 법칙 실험_Ver1_200523_R0 (0) 2020.05.23 물리학 실험 예비 보고서_02. 등전위실험_Ver1_200523_R0 (0) 2020.05.23 물리학 실험 보고서_01. 정전기실험(쿨롱의 법칙)_Ver1_200523_R0 (0) 2020.05.23