-
물리학 실험 예비 보고서_03. 옴의 법칙 실험_Ver1_200523_R0물리학 실험 족보 2020. 5. 23. 15:16
1.실험제목
Ohm의 법칙
2.실험목적
저항들이 직렬 및 병렬로 연결된 회로에서 전압, 전류를 측정하여 Ohm의 법칙을 확인하며, 각 회로에서의 등가저항을 실험적으로 측정하고 이를 폐회로 정리에 의한 이론적 결과와 비교한다.
3.실험이론
(1) 옴의 법칙
코일선의 양단에 가변전위차 V를 가해주자. 가해 준 각각의 전위차에 대해서 전류 I를 측정하고 V를 가로축으로 I를
세로축으로 그림을 그리면 직선이 나온다. 이것은 도체의 저항은 가해 준 전압의 값 여하에 관계없이 동일하다는 뜻이
된다. 금속도체에 대해 성립하는 이 결과를 옴의 법칙이라고 한다.

왼쪽은 그림(1), 오른쪽은 그림(2) 그림 (1) 에서 전압을 부의 값으로 한다는 것은 도선 코일에 가해 준 전위차의 극성을 역으로 한다는 사실에 대응한다.
극성을 역으로 하는 일의 경우 전류의 흐르는 방향이 단순히 역으로 된다는 것을 알 수 있다. 이 때의 전류의 크기는 변하지 않는 채로 있게 된다. 하지만 옴에 법칙에 따르지 않는 도체의 장치도 많다.
그림 (2) 는 규소 기부의 Pn 접합 반도체 다이오드에 대한 V-I의 그래프를 나타낸 것이다. V>0에 대한 곡선은 직선이 아니며 대칭성을 가지지도 않는다. 이것으로 보아서 도체의 V-I곡선이 선형일 경우에만 그 도체가 옴의 법칙을 따른다.
즉 R이 V와 I에 대해 독립일 경우에만 옴의 법칙이 성립한다는 것이다. 또한 도체가 옴의 법칙을 따르든지 그렇지 않던 지간에 V=IR이라는 관계식은 도체의 저항의 정의 식으로서 그대로 성립한다.
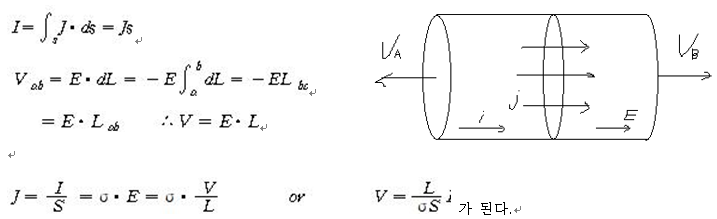
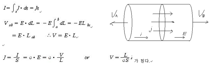
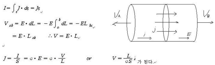
정전기학은 전기장의 근원인 전하들이 움직이지 않을 때 적용된다. 그런데 실제로는 이보다 일반적으로 e와 J가 변하지 않으면 전자기학과 정전기학이 적용된다. 예를 들어 전하가 고르게 펴진 공이 돌 때에도 그것이 멈춰 있을 때와 같은 전기장을 만든다. 그러나 전자들이 실제로 멈추어 있을 때 만 성립하는 정전기학의 법칙이 있는데 도체 속에서 E=0이라는 법칙이다. J=σf 전류밀도 J는 단위전하에 미치는 힘 f에 비례한다. 비례상수 는 실험에서 얻은 상수로 매질의 전도도라고 한다. 대개의 금속 전도도는 10^22배 정도로 완전도체로 간주할 수 있다. 전류를 발생시키는 힘(전자기력) J=σ(E+V*B)이다.
그러나 보통전하의 속도는 그리 빠르지 않으므로 무시할 수 있고 J=f로 쓸 수 있다.
V=IR 이것은 전극을 늘어놓은 모양과 두 전극을 잇는 매질의 전도도에 따라 결정된다. 지시적인 영역에 대해 미분형으로 표시한 옴의 법칙을 적용하면 널리 사용되고 있는 옴의 법칙의 표현식을 구할 수 있다.
J와 E가 균일하다고 가정하면

가 된다.
한편 원통 양단면 사이의 전위차와 전위가 높은면으로 흘러들어가는 전류와의 비를 회로이론에서 원통의 저항이라고
부른다. 이 저항을 R이라고 하면 V=IR이란 관계를 얻게되고,

이다.
(2) 회로에서 저항과 전류의 측정
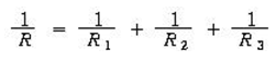
① 저항의 직렬 연결
세 개의 저항 R1, R2, R3가 직렬 연결되었을 때 등가저항 R을 구하기 위해 폐회로 정리를 말하면 회로에 흐르는 전류가 I라고 할 때 회로의 임의의 점을 출발하여 시계방향으로 일주하면, 저항 R1, R2, R3에서 -IR1, -IR2, -IR3의 전압강하가 일어나며 기전력 장치에서 전압증가가 있게 된다.



등가저항 R은

와 비교하여 R= R1+R2+R3임을 알 수 있다.
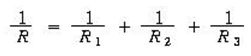
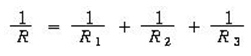
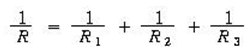
②저항의 병렬 연결


저항 R1, R2, R3에 흐르는 전류는

이고 이것의 합은 회로에 흐르는 전체전류 I와 같게 된다.

그런데

이므로 이를 대입하면

이 성립한다.
4.참고문헌
1) Introduction to dectrodynamics (기초전자기학 제 2판), David J. Griffiths원저 교학사. pp. 251~253
2) Engineering Electromagnetocs (전자기학), William. H. Hayt 박한규, 윤상원 공역 pp. 125~126
3) Fundamentals of physics (물리학 총론 개전증보판 2부), Halliday, Resnick원저 pp.737~741
5.기구 및 장치
1) 저항 회로상자
2) 직류전원장치 (0-30 V)
3) 직류전압계 (0-15V)
4) 직류전류계 (0-20mA)
5.실험방법
1) Ohm의 법칙을 확인하고 각각의 저항 R1, R2, R3의 값을 측정하기 위해, 먼저 저항 R1과 직류전원으로 구성된 단일 폐회로를 구성한다.
2) 가변전원 스위치를 켜고 전압계의 눈금을 보아가면서 전원의 조절손잡이를 조정하여 여러 전압(예를 들어 2V,2.5V,3V,3.5V,4V 등)에 따라 회로에 흐르는 전류를 전류계로 측정하여 표에 기록한다.
3) R2, R3에 대해서도 (1),(2)의 과정을 반복한다.
4) 표로부터 V와 I가 직선적인지, 즉 Ohm의 법칙이 성립하는지 확인하고 식(1)을 이용해 저항 R1, R2, R3의
평균값을 구한다.
5) R1, R2, R3가 직렬로 연결되었을 때의 등가저항을 구하기 위하여 그림 (4)와 같은 회로를 구성한다.
6) 전원의 값을 변화시켜가면서 (1~6V 정도) a,b 양단간의 전압과 회로에 흐르는 전류 I를 측정하여 표에 기록한다.
7) R1, R2, R3가 병렬로 연결되었을 때의 등가저항을 구하기 위해 그림 (3)과 같은 회로를 구성한다.
8) 전원의 값을 변화시켜가면서 (0.5V ~ 2.5V 정도) 회로에 흐르는 전류값과, c,d 양단간의 전압을 측정하여 표에 기록한다.
9) (1)~(4)의 과정을 거쳐 얻은 R1, R2, R3 값으로부터 식 (5)에 의해 계산된 직렬회로의 등가저항값과 (5)~(6)의 과정에 의하여 얻은 실험치를 비교한다.
10) 식 (8)에 의하여 계산된 병렬회로의 등가저항값과 (7)~(8)의 과정에서 얻은 실험치를 비교한다.
'물리학 실험 족보' 카테고리의 다른 글
물리학 실험 예비 보고서_07. 빛의 굴절 및 반사_Ver1_200524_R0 (0) 2020.05.24 물리학 실험 예비 보고서_04. 지구자기장 실험_Ver1_200524_R0 (0) 2020.05.24 물리학 실험 예비 보고서_02. 등전위실험_Ver1_200523_R0 (0) 2020.05.23 물리학 실험 보고서_01. 정전기실험(쿨롱의 법칙)_Ver1_200523_R0 (0) 2020.05.23 물리학 실험 보고서_3-1. 힘의 평형과 합성 실험 예비 보고서_Ver1_200516_R0 (0) 2020.05.16