ABOUT ME

-

Today
-
Yesterday
-
Total
-
  • 물리학1 4장 연습 문제 및 풀이_200517_R0
    물리학1 족보 2020. 5. 17. 13:56

    4장

     

    4-2. 100 N의 힘을 1.00 kg과 1.00 g에 각각 가했을 때, 각 물체의 가속도는 얼마인가?

     

    풀이)

    4-3. 마찰을 무시할 수 있는 수평트랙 위에 정지해 있던 2.00kg 물체에 50.0N의 힘을 수평방향으로 3.0초 동안 가했다. 이후 물체는 직선운동을 한다. 다음을 구하여라.

     

    (가) 이 힘으로 인한 물체의 가속도
    (나) 초기 3.00초간 속력-시간, 이동거리-시간의 관계식
    (다) 이후 직선운동을 할 때 가속도와 속력

     

    풀이) 운동 법칙

    4-4. 화물이 실린 어떤 비행기의 무게가 2.75x10^6 N이다. 그 비행기의 엔진 추진력이 6.35x10^6 N
    이라면 최저 이륙속력인 285 km/h에 도달하기 위해 필요한 활주로의 길이는 최소 얼마인가?

     

    풀이)

    4-5. 세 권의 책(X, Y, Z)이 책상 위에 놓여 있다. X의 무게는 4 N, Y의 무게는 5 N, Z의 무게는 10 N이다.
    Y에 작용하는 알짜힘은 얼마인가?

     

    풀이)

    4-7. 자동차가 움직일 때 작용하는 마찰력에 관한 것이다. 다음 물음에 답하여라.
    (가) 자동차 타이어는 지표면과 마찰을 이용해서 운동을 하는데, 대개 어떤 마찰력인가?
    (나) 운동마찰력과 정지마찰력의 크기를 비교하여, 감속이나 가속할 때 더 유용한 것은 어느 것인가? 그 이유를 설명하여라.
    (다) 자동차의 질량 m, 운동마찰계수 μk, 정지마찰계수 μs, 중력가속도 g일 때, 자동차의 ABS 제동 시스템을 설계하고자 한다. 이 제동 시스템을 작동시키는 기준이 되는 마찰력의 크기를 구하여라. (ABS는 자동차가 감속할 때, 타이어가 지표면에서 미끄러지는 것을 방지하는 시스템이다.)

     

    풀이)

    4-8. 아래 그림 A와 같이 널빤지 위에 무게 2 N인 상자가 놓여 있다. 이제 널빤지를 B와 같이 기울여 지면과 45o의 각도를 이룰 때, 상자가 미끄러지기 시작하였다. 널빤지가 지면과 나란한 A의 상황에서 상자를 움직이는 최소 힘은 얼마인가?

     

    풀이)

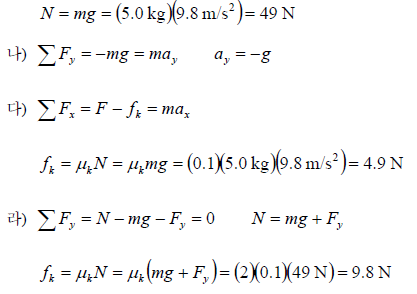
    4-9. 질량 5.00 kg의 물체가 지표면에 놓여 있다.
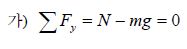
    (가) 이 물체에 작용하는 수직항력은 얼마인가? 수직항력은 왜 나타나게 되는지 설명하여라.
    (나) 만약 수직항력이 없다면, 물체는 어떻게 되는지 예상해 보아라.
    (다) 이 물체를 수평방향으로 힘을 가해 끌고 가고 있을 때, 작용하는 운동마찰력을 구하여라. (운동마찰계수 μk = 0.1)
    (라) 친구가 이 물체 위를 힘 49.0N으로 누를 때, 운동마찰력을 구하고 결과를 (다)와 비교하여라.

     

    풀이) y축 평형

    4-11. 질량이 100 kg인 물체에 질량이 10 kg인 밧줄을 연결하여 수평 방향으로 110 N의 힘으로 끌고 있다.
    (가) 물체에 작용하는 힘은 얼마인가?
    (나) 밧줄의 중간 부분에 작용하는 장력은 얼마인가?

    풀이)

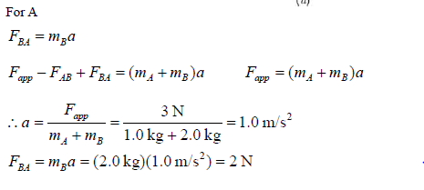
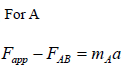
    4-12. 마찰이 없는 책상 위에 두 물체가 그림과 같이 서로 접촉해 있다. 두 물체의 질량은 각각 2.0 kg과 1.0 kg이다. 3.0 N의 힘을 1.0 kg 물체에 수평으로 작용시킬 때,

    (가) 두 물체 간에 작용하는 힘을 구하여라.
    (나) 같은 힘을 2.0 kg 물체에 작용하게 한 경우 두 물체끼리 작용하는 힘의 크기를 구하여라.

    풀이)

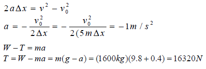
    4-14. 짐을 실은 승강기의 총 질량이 1,600 kg이다. 초속도 2.0 m/s로 내려오던 승강기가 어느 순간부터 일정한 가속도로 감속하여 5.0 m 더 간 후 정지하였다. 정지하기까지 승강기를 연결한 줄의 장력은 얼마인가? (단, g = 9.8 m/s2이다.)

    풀이)

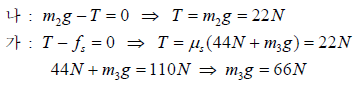
    4-15. 그림과 같이 도르래를 통하여 연결된 두 물체가 있다. 수평면에 놓인 물체 (가)의 무게는 44 N이고, 줄로 매달린 물체 (나)의 무게는 22 N이다. 물체와 수평면 간의 마찰계수가 0.20이라 할 때, 물체 (가)가 미끄러지지 않게 하기 위해 그 위에 놓아야 할 물체 (다)의 최소 무게는 얼마인가?

     

    풀이)

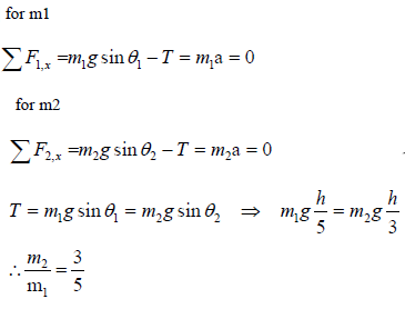
    5-16. 경사면 길이의 비가 5 : 3인 두 경사면이 그림과 같이 서로 마주보고 있다. 두 경사면 위에는 물체 (가)와 (나)가 끈으로 연결되어 평형을 유지하고 있다. 물체 (나)의 질량은 (가)의 질량의 몇 배인가?

    풀이)

    4-17. 그림과 같이 담 너머에 있는 물체의 밑에 줄을 연결하여 일정한 힘으로 사람이 줄을 잡아당기면 물체는 담 쪽으로 끌려온다. 물체와 바닥 사이의 마찰은 무시하고 다음 물음에 답하여라.

    (가) 물체에 연결되어 있는 줄에 걸리는 장력의 세기는 물체의 위치에 따라 어떻게 변하는가? 

    (나) 이 물체의 가속도는 물체의 위치에 따라 어떻게 변하는가? 

    (다) 물체가 바닥에서 받는 수직항력은 물체의 위치에 따라 어떻게 변하는가?

    풀이)

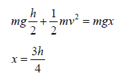
    4-18. 아래 그림과 같이 질량이 m으로 같은 두 물체가 마찰이 없는 경사면에 마찰이 없는 도르래를 통해 질량을 무시할 수 있는 끈으로 연결되어 있다. 초기에 왼쪽 물체는 지면에 닿아있고 오른쪽 물체를 높이 h에서 정지 상태로 떨어뜨린다고 하자. (중력가속도는 g이다.)
    (가) 오른쪽 물체가 지면에 닿기 전에 두 물체의 가속도의 크기는 얼마인가?
    (나) 오른쪽 물체가 지면에 닿기 직전 두 물체의 속력은 얼마인가?
    (다) 왼쪽의 물체는 수직 방향으로 최고 얼마만큼 올라가겠는가?

    (주의: 오른쪽 물체가 지면에 닿아 정지한 이후에도 왼쪽 물체는 계속 움직일 수 있다.)

     

    풀이)

    4-19. 아래 그림에서 질량 2m인 물체의 하향 가속도의 크기를 중력가속도 g로 나타내어라. (단, 도르래 질량은 무시한다.)

    풀이)

     

    댓글

슬루리의 사회 생활 적응기