ABOUT ME

-

Today
-
Yesterday
-
Total
-
  • 물리학1 3장 연습 문제 및 풀이_200517_R0
    물리학1 족보 2020. 5. 17. 13:34

    3장

    3-2. 108 km/h로 등속직선운동 하는 물체의 속도를 단위 m/s로 나타내고, 이 물체가 5초동안 이동한 거리를 구하여라.

     

    풀이)

    3-5. 고층 아파트에 사는 영희와 순희는 창문을 통하여 영철이가 지면에서 던진 공이 올라가는 것과 다시 내려가는 것을 보았다. 영희는 2.0초 간격으로, 그리고 순희는 4.0초 간격으로 공이 올라갔다 내려가는 것을 보았다. 영희와 순희의 집은 수직으로 얼마나 떨어져 있는가?

     

    풀이)

    3-6. 초기에 정지해 있던 자동차를 일정한 가속도 2a로 속도를 증가시키고 있다. 이때 아래 관계식을 구하고, 그래프로 나타내어라.

     

    (가) 이동거리와 시간 

    (나) 속도와 시간 

    (다) 가속도와 시간

    왼쪽부터 (가), (나), (다)

    3-8. 어떤 스마트폰의 스크롤 기능은 등가속도 -5.00 cm/s^2로 감속운동을 하도록 프로그래밍되어 있다. 웹페이지의 길이가 충분이 길다고 할 때,초기에 20.0 cm/s 속력으로 스크롤 다운하였다면 몇 초 후에 웹페이지가 멈추게 되는가? 이때 스크롤된 총 길이는 얼마인가?

     

    풀이)

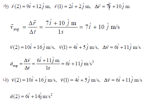
    3-10. 평면 위에서 운동하는 어떤 물체의 시간에 따른 위치 변화가 r  (3t2  2t 1, t3  t2 ) 
    으로 표현된다.

    (가) t = 1s와 t = 2s사이의 평균속도와 평균가속도를 구하여라.
    (나) t = 2s일 때의 속도와 가속도를 구하여라.

     

    풀이)

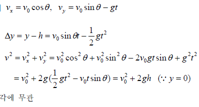
    3-11. 높이가 h인 빌딩 옥상에서 공을 같은 초속력으로 수평과 θ의 각도로 던졌다. 지면에 닿는 순간 공의 속력이 가장 커지는 θ의 값은 얼마인가?

     

    풀이)

    3-12. 10 m높이의 건물 옥상에서 공을 수평으로 던지니, 공이 건물로부터 수평으로 50 m떨어진 곳의 바닥에 떨어졌다.
    (가) 공이 손에서 떨어지는 순간의 초기속도는 얼마인가?
    (나) 공이 땅에 닿기 직전의 속도는 얼마인가?

     

    풀이)

    3-14. 아래 그림과 같이 다트가 20.0 m/s의 속력으로 수평방향으로 던져졌다. 0.1초 후에 표적에 맞았다면 표적의 정중앙에서 빗겨난 거리 XY는 얼마인가?

     

     풀이)

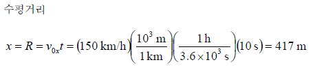
    3-15. 아래 그림과 같이 고도가 0.5 km이며 150 km/h의 속력으로 수평으로 날고 있는 비행기에서 폭탄을 떨어뜨렸을 때 폭탄이 날아간 수평거리는 얼마인가?

     

    풀이)

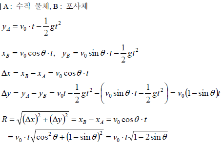
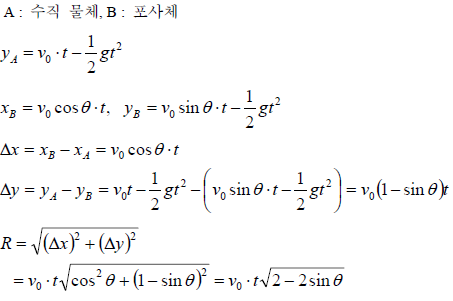
    3-17. 두 물체가 지면의 동일한 지점에서 동시에 같은 초기 속력 v0로 던져졌다. 한 물체는 지면과 수직으로, 다른 물체는 지면과 θ의 각도로 던져졌을 때, 시간 t후에 두 물체 사이의 거리는 얼마인가? 단 시간 t후의 두 물체 모두 아직 지면에 떨어지지 않았다.

     

    풀이)

    3-16. 높이가 h인 건물로부터 d만큼 떨어진 앞에서 공을 초속력 v로 던져 건물 꼭대기를 간신히 넘어가게 하려면 수평과 얼마의 각도로 던져야 하는가?

     

    풀이)

    3-17. 두 물체가 지면의 동일한 지점에서 동시에 같은 초기 속력 v0로 던져졌다. 한 물체는 지면과 수직으로, 다른 물체는 지면과 θ의 각도로 던져졌을 때, 시간 t후에 두 물체 사이의 거리는 얼마인가? 단 시간 t후의 두 물체 모두 아직 지면에 떨어지지 않았다.

     

    풀이)

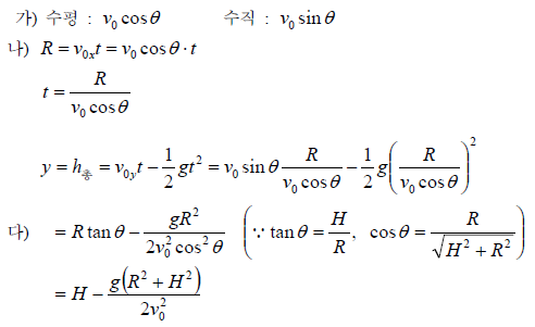
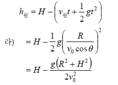
    3-18. 높이가 H인 나무 꼭대기에 있는 원숭이가 있다. 나무 밑으로부터 거리 R떨어진 점에 있는 사냥꾼이 원숭이를 조준하여(즉, 수평 방향과 tanθ = H/R방향으로) 쏘는 순간 원숭이가 기절하여 떨어지기 시작한다고 한다.

    (단, 총알의 초기 속도의 크기는 v0이고 중력 가속도의 크기는 g이다).

     

    (가) 총알 초기 속도의 수평 방향 성분과 수직 방향 성분을 v0, θ를 이용하여 나타내어라.
    (나) 총알 초기 속도의 수평 방향 성분을 이용하여 총알이 나무 위치에 도달할 때까지의 시간을 v0, θ, R로 나타내어라.
    (다) 총알 초기 속도의 수직 방향 성분을 이용하여 총알이 나무 위치에 도달했을 때 총알의 g, v0, R, H로 나타내어라.
    (라)총알이 나무 위치에 도달했을 때 원숭이 높이를 g, v0, R, H로 나타내어라. 원숭이는 총알에 맞는가?

     

    풀이)

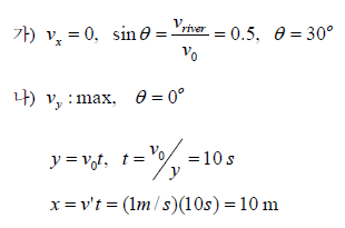
    3-20. 아래 그림과 같이 강의 폭이 20 m이고, 강물이 1.0 m/s의 속력으로 흐르고 있다. 이 강을 2.0 m/s의 속력으로 수영할 수 있는 사람이 헤엄쳐서 건너려고 한다.
    (가) 이 사람이 B점을 출발하여 강 건너 A점에 도달하려고 한다. 이 사람은 실제로 어느쪽으로 헤엄쳐야 하는가? 이때 A점에 대한 사람의 속력은 얼마인가?
    (나) 이 사람이 강을 제일 짧은 시간에 건너려고 하면 어느 쪽으로 헤엄쳐야 하는가? 또 이때 걸리는 시간과 도착 지점을 구하여라.

    풀이)

    댓글

슬루리의 사회 생활 적응기