-
물리학1 1~2장 연습 문제 및 풀이_200517_R0물리학1 족보 2020. 5. 17. 13:21
1장
1-4. 영국 황실에 보관하고 있는 가장 큰 다이아몬드의 부피가 1.84 in3(1.84 큐빅 인치)라고 한다. 1 in
= 2.54 cm 이다. 이 다이아몬드의 부피를 cm3의 단위로 환산하여라. 얼마나 큰가?풀이)
1-7. 유효숫자에 유의하여 다음 계산을 하여라.
(가) 4.87 + 12.3 = 17.2
(나) 1.34 - 0.023 = 1.32
(다) 0.035 * 0.0789 = 2.8 * 10^-3
(라) 3.80 * 10^-2 / 1.146 * 10^3 = 3.32 * 10^-51-8. 사람 몸속의 피는 70.0 mL/kg 정도가 된다고 한다. 몸무게가 60.0 kg인 사람의 피의 양은 몇
L인가?풀이)
1-9. 과학을 공부할 때 정확한 계산 값을 구하기 이전에 먼저 어림 계산올 하여 어떤 것이 가능 한
현상인지 추론해보는 습관은 중요하다. 어떤 스파이 영화에서 악당이 100억 원 값어치의 금괴가 든
가방을 손에 들고 탈출한다. 실제로 가능한 일일까? 24K 금의 시세가 1돈 (3.75 g)에 20만 원이라고
하고 금괴의 무게를 계산해보아라.풀이)
2장
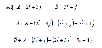
2-3. 그림 P.2.1의 두 벡터 A, B를 단위벡터 i, j를 이용하여 나타내고, 두 벡터의 합 A+B, B+A를
구하여라. 벡터 합의 교환법칙이 성립함을 삼각형법을 이용하여 보여라.풀이)
2-6.
일 때에 다음을 계산하여라.
풀이)
2-9. 그림 P.2.2는 A x B 를 표현한 것이다. A x B의 크기, 즉 |A x B|가 두 벡터 A, B가 이루는
평행사변형의 넓이가 됨을 보여라.풀이)
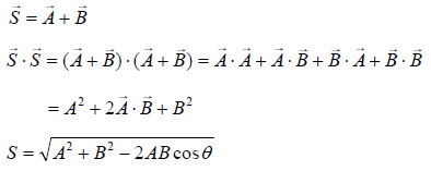
2-10. 두 벡터 와 가 이루는 사잇각이 θ일 때, 합벡터 S(=A+B)의 크기가 다음과 같이 주어짐을
보여라.풀이)
2-12. 평면상에 있는 다섯 벡터의 합이 0일 때, 이들 벡터들의 사잇각을 모두 합치면 몇 도인가?
풀이) 360도
'물리학1 족보' 카테고리의 다른 글
물리학1 4장 연습 문제 및 풀이_200517_R0 (0) 2020.05.17 물리학1 3장 연습 문제 및 풀이_200517_R0 (0) 2020.05.17 물리학1 8장 2006~2015 기출 문제 및 풀이 모음_200517_R0 (0) 2020.05.16 물리학1 7장 2006~2015 기출 문제 및 풀이 모음_200517_R0 (0) 2020.05.16 물리학1 6장 2006~2015 기출 문제 및 풀이 모음_200517_R0 (0) 2020.05.16