-
물리학 실험 보고서_01. 정전기실험(쿨롱의 법칙)_Ver1_200523_R0물리학 실험 족보 2020. 5. 23. 14:54
1.실험제목
정전기 실험
2.실험목적
두 전하 사이의 힘을 측정하여 쿨롱의 법칙을 확인한다.
3.기본이론
1) 쿨롱의 법칙
쿨롱은 비틀림 저울을 사용하여 두 전하의 전하량과 전기력 사이의 관계, 전하 사이의 거리와 전기력 사이의 관계를 알아냈다. 비틀림 저울은 수정 실에 매달린 가볍고 절연된 막대의 한 끝에 대전된 금속구 A를 다른 끝에는 균형을 잡기 위해 추를 매달아 놓았다. 이 때 구가 움직일 때 공기의 영향을 받지 않게 하기 위해 유리 상자 안에 이 장치를 놓고 구의 위치를 알 수 있게 원통면에 눈금을 정해 놓았다. 여기에 A와 같은 전하로 대전된 구 B를 A에 가까이 하면 절연 막대가 회전하고, 실의 비틀림 탄성에 의한 복원력과 전기력이 평형에 이르면 A는 정지한다. 수정실이 매어있는 윗부분에는 눈금이 있어서 비틀리는 각도를 읽을 수 있게 되어 있으며 이것을 측정하면 전기력의 크기를 알 수 있다. 이 때 B가 띠는 전하량을 일정한 비율로 변화시키면서 A가 받는 반발력을 조사한 결과 두 전하 사이의 전기력은 대전체가 띤 전하량의 곱에 비례한다는 것을 알게 되었다. 두 대전체의 전하량을 q1,q2 로 놓으면 전기력 F는

이다. 그리고 두 전하 사이의 거리를 변화 시키면서 A가 받는 반발력을 조사한 결과 전기력은 거리의 제곱에 반비례 한다는 것을 알 수 있었다. 두 전하 사이의 거리를 r이라고 하면 전기력 F는

이다. 쿨롱은 이와 같은 실험결과를 정리하여
두 전하 사이에 작용하는 전기력은 두 전하량의 곱에 비례하고, 두 전하 사이의 제곱에 반비례한다.는 결론을 냈다.

이를 쿨롱의 법칙이 라고 한다. 여기서 K는 비례상수이다. 진공에서 1m만큼 떨어져 있는 같은 전하량을 가진 두 전하가

의 힘을 미치고 있을 때 이 전하들이 가진 전기량을 1쿨롱(c)이라 하고 이것을 전기량의 단위로 사용한다.

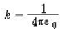
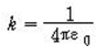
진공에서의 비례상수는

로 나타내는데,

는 진공에서의 유전율이라고 한다.
2) 가우스 법칙
1. 전기장의 플럭스 : 임의의 가상적인 폐곡면을 지나가는 전기력선의 흐름

(ds : 임의의 폐곡면의 면적요소)
2. 가우스 법칙
가우스 법칙은 가우스면 이라 부르는 임의의 가상적인 폐곡면에 작용하게 되는데 표면에 대한 플럭스와 그 표면이 둘러싸는 순전한 q와의 사이의 연관을 나타낸 것이다.

가우스 법칙의 한계 - 가우스 법칙을 써서 전기장을 계산할 수 있는 것은 전하 분포가 아주 대칭적이어서 가우스 면만 잘 선택하면 적분을 쉽게 계산할 수 있는 경우만으로 한정된다.

3. 가우스 법칙으로부터 전기장 및 쿨롱의 법칙 도출

- 그림과 같이 점전하 q1를 둘러싸는 반지름 r인 구형의 가우스 면을 선택한다.
- 가우스 법칙을 적용하면 다음과 같다. (E는 일정하다)

따라서 고립된 점전하 q1로부터 거리가 r인 임의의 점에서의 전기장 E의 크기는

- E가 계산된 점으로부터 두 번째 전하 q2를 놓았을 때 새로운 점전하가 작용하는 힘은

이므로 위의 전기장의 식과 결합을 하면 다음과 같은 식을 구할 수 있다.

3) 대전된 평행판

- 단면적 A인 두 도체 평행판이 대전되어 d만큼 떨어져 전위차가 V가 되었을 때

4.참고문헌
1) 김기식외 15인, 대학물리학, (인하대 출판부, 인천, 1999)
2) 공하성, 오성균, 유용희 공저 <<전기이론>>. 성안당
3) 김의균, 박세환 공저 <<신 전자기학>>. 도서출판 기한재
5.기구 및 장치
1) 직류 고압 전원 장치
2) 전자 저울
3) 크기가 다른 평행판
4) 마이크로미터
5) 절연봉
6) 줄자
6.실험방법
1) 평행판 설치하고 전원장치의 스위치 ON
2) 전자 저울 수평 확인 후 영점을 맞춘다.
3) 고압 연결선, 접지선 연결
4) 극판사이의 거리 d를 측정한다.
5) 전압을 서서히 증가시켜 측정하고자 하는 전압으로 맞춘다. 전압과 저울눈금을 기록한다. 이 때 전자 저울이 받는 질 량은

이 된다.
6) 평행판에 남아 있는 전하를 없애주고 거리 d를 다르게 한 후 측정을 계속한다.
7) 단면적이 다른 평행판으로 교환하여 같은 실험을 한다.
'물리학 실험 족보' 카테고리의 다른 글
물리학 실험 예비 보고서_03. 옴의 법칙 실험_Ver1_200523_R0 (0) 2020.05.23 물리학 실험 예비 보고서_02. 등전위실험_Ver1_200523_R0 (0) 2020.05.23 물리학 실험 보고서_3-1. 힘의 평형과 합성 실험 예비 보고서_Ver1_200516_R0 (0) 2020.05.16 물리학 실험 보고서_3-9 회전장치에 의한 관성 모멘트 측정 예비 보고서_Ver1_200516_R0 (0) 2020.05.16 물리학 실험 보고서_3-2 포물선 운동 실험 예비 보고서_200516_R0 (0) 2020.05.16