-
일반 화학 “2014년 2학기 기말 시험”일반화학 족보 2020. 6. 13. 19:44
일반 화학 “2014년 2학기 기말 시험”

<5지 선다형: 문항 당 5점>
1. 그림은 이산화탄소와 물의 상평형 그림이다. 이 그림에 대한 설명 중 옳지 않은 것은?

① 점 A의 상태에 있는 얼음의 온도는 일정하게 유지하면서 압력을 변화시켜 액체로 만들 수 있다.
② 점 B의 상태에 있는 이산화탄소의 압력을 일정하게 유지하면서 온도를 낮추면 액체를 거치지 않고 고체로 변한다.
③ 고체 이산화탄소의 밀도는 액체 이산화탄소보다 크다.
④ 40℃, 80atm에서 이산화탄소는 초임계유체 상태로 존재한다.
⑤ 두 상평형 그림에서 고체-액체 상경계는 냉각 곡선과 같다.
답 : 5
2. 다음 설명 중 옳지 않은 것은?
① 한 물질의 증발엔탈피는 항상 융해엔탈피보다 크다.
② 체심입방구조의 배위수는 8이다.
③ 쌍극자-쌍극자 인력은 액체일 때보다 고체일 때 더 강하다.
④ 런던힘은 무극성 분자들 사이에 작용하는 인력이다.
⑤ NaCl 단위세포 속에는 Na^+ 이온이 4개 들어 있다.
답 : 4
3. 화학 평형에 대한 다음 설명 중 옳은 것은?
① 2H2S(g) + O2(g) ↔ 2S(s) + 2H2O(g) 반응이 평형에 도달한 계에 황(S)을 첨가하여도 [H2O]는 변하지 않는다.
② 일정한 온도의 기체상에서 2NO2 ↔ N2O4 반응이 평형을 이룬계에 He을 가하여 전체 압력을 증가시키면 N2O4의 양이 증가한다.
③ 반응식에 2를 곱하면 평형상수는 2배가 된다.
④ 온도를 올리면 발열 반응의 평형상수는 증가한다.
⑤ 평형 상태에서는 정반응과 역반응의 속도 상수가 같다.
답 : 1
4. 다음 설명 중 옳지 않은 것은?
① 분자간 인력이 없으면 모세관 현상도 없다.
② 농도가 일정할 때 수용액의 삼투압은 온도와 무관하다.
③ 이온화합물의 용해열은 격자에너지와 수화열의 합이다.
④ Raoult의 법칙을 따르는 용액을 이상용액이라 부른다.
⑤ 용해열이 (+)인 물질 중에도 물에 녹는 것이 있다.
답 : 2
5. PCl5를 용기에 넣고 가열하여 다음 반응이 평형에 도달하였다.
PCl5(g) ↔ PCl3(g) + Cl2(g) ΔH > 0
어떤 온도에서의 평형에서 전체 압력은 3.0 기압이며 Cl2 기체의 몰분율은 0.40 이었다. 이 계에 대한 설명으로 옳지 않은 것은?
① PCl5의 분압은 0.60 기압이다.
② 평형 상수 (Kp)는 2.40 이다.
③ Cl2를 첨가하면 PCl3의 양은 감소한다.
④ 일정한 압력에서 온도를 올리면 PCl5의 몰분율은 감소한다.
⑤ 일정한 온도에서 용기를 압축하여 압력을 올리면 평형 상수는 감소한다.
답 : 5
6. 산-염기에 대한 다음 설명 중 옳은 것은?
① 산의 Ka 값이 클수록 짝염기의 염기성은 강하다.
② H2S보다 H2O가 더 센 산이다.
③ 농도가 감소하면 약한 산의 해리 백분율은 증가한다.
④ 산소산의 경우 산소 원자의 수가 적을수록 더 강한 산이 된다.
⑤ Ca^2+ 이온은 수용액에서 염기성을 나타낸다.
답 : 3
<단답형 문항: 각 5점> : 단답형 문제는 풀이 과정이 없이 최종 답만을 답안지의 해당 란에 쓰세요.
1. 어떤 진한 염산 시료의 몰농도는 12.00M이다. 이 용액에서 HCl의 몰분율을 구하라. 단, 수용액의 밀도는 1.20g/mL임.
답 : 0.217
2. 마그네슘은 육방 조밀 쌓임 구조를 가지며, 원자 반지름은 160pm이다. 밀도를 구하라.
답 : 1.74
3. 25℃에서 어떤 약산 HX의 Ka = 2.00x10^-6이다. 0.100M NaX 수용액의 pH는?
답 : 9.35
4. 몰질량이 95.21g/mol인 어떤 이온화합물 0.476g을 물 100.0g에 녹인 수용액의 어는점을 측정하였더니 -0.23℃였다. 이 수용액에 들어 있는 이온화합물의 van't Hoff 인자 값을 구하라. 단, 물의 Kf 값은 1.86℃/m이다.
답 : 2.47
5. 알루미늄 제련 공장에서 10x10^6A에서 지속적으로 작동되는 전해전지를 써서 하루 동안 얻는 알루미늄의 질량은 몇 kg인가?
답 : 8053kg
6. 다음 자료를 이용하여 기체 HCl의 ΔH″f를 구하라.
N2(g) + 3H2(g) → 2NH3(g) ΔH″rxn = -91.8kJ
N2(g) + 4H2(g) + Cl2(g) → 2NH4Cl(s) ΔH″rxn = -628.8kJ
NH3(g) + HCl(g) → NH4Cl(s) ΔH″rxn = -176.2kJ
답 : -92.3kJ/mol
<주관식 문항 : 문항 당 배점은 문제에 있음>
주의 : 주관식 문제는 풀이 과정이 없으면 부정행위로 간주하여 0점 처리합니다. 답안지 칸이 부족하면 답안지 뒷면을 이용하세요.
1. (10점) 25℃, 1기압에서 다음과 같이 수소 기체 2mol이 완전히 반응하는 과정의 내부에너지 변화 ΔE를 kJ 단위로 구하라. 단, 고체와 액체의 부피는 무시한다.2H2(g) + O2(g) → 2H2O(l) ΔH반응 = -572.6 kJ
답 : -565.15(KJ)
ΔE = ΔH - PΔV
-3점
= ΔH - ΔnRT (n=-3)
- 3점
ΔE = ΔH +3RT
ΔE = -572.6 + 3 x 8.314 x 298.15 x 10^-3 = -565.15(KJ)
- 4점
2. (10점) 다음 반응에 대하여 아래 물음에 답하라.
PCl3(g) + Cl2(g)↔ PCl5(g)
500K에서 평형에 도달한 반응 혼합물을 분석하였더니 [PCl3]=0.200M, [Cl2]=0.125M, [PCl5]=0.600M이었다. 이 반응혼합물에 PCl5의 농도를 순간적으로 0.200M 만큼 증가시켰다. 다시 평형에 도달한 반응 혼합물 중의 PCl5(g)의 농도를 구하라.
답 : 0.7785M
PCl3(g) + Cl2(g) ↔ PCl5(g)
500K에서 [PCl3] = 0.200M, [Cl2] = 0.125M, [PCl5] = 0.600M
K = [PCl5] / ( [PCl3][Cl2] ) = 0.600M / (0.200M x 0.125M)
-3점
= 24
-2점
PCl3(g) + Cl2(g) ↔ PCl5(g)
0.200M 0.125M 0.800M
+x +x +x
----------------------------
0.2+x 0.125+x 0.800-x
K= 0.800-x / ((0.2+x)(0.125+x)) = 24
x = 0.0215
-3점
[PCl5] = 0.800M - 0.0215M = 0.7785M
-2점

3. (12점) 25℃에서 다음 전지

에 대하여 다음 물음에 답하시오. (이 문제에서만 답안지에 답만 쓰시오.)
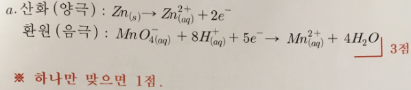
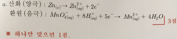
a. 양극과 음극의 반쪽 전지 반응식을 써라. (3점)
b. 전체 전지 반응식을 써라. (3점)
c. 표준 전지 전위를 구하라. (3점)
d. 볼타저닞에서 염다리의 역할을 간략히 설명하라. (3점)
답 :
(a)

(b)

(c)

(d)
두 용액의 전하의 균형을 맞추고 이온이 흐른다.
두 용액에 나타난 전위를 없앤다.

4. (8점) 에탄올의 증발엔탈피는 40.0kJ/mol이고 35℃에서 C2H5OH의 증기압은 115 Torr이다. 60.0℃에서 에탄올의 증기압을 torr 단위로 구하라.
답 : 371.1 torr



'일반화학 족보' 카테고리의 다른 글
일반 화학 “2015년 1학기 기말 시험” (0) 2020.06.14 일반 화학 “2017년 1학기 기말 시험” (0) 2020.06.14 일반 화학 “2015년 2학기 기말 시험” (0) 2020.06.13 일반 화학 “2016년 2학기 중간 시험” (0) 2020.06.13 일반 화학 “2016년 2학기 기말 시험” (2) 2020.06.08