-
일반 화학 “2016년 2학기 중간 시험”일반화학 족보 2020. 6. 13. 18:37
일반 화학 “2016년 2학기 중간 시험”

<5지 선다형: 각 문항 5점>
1. 실제 기체의 비이상성에 대한 다음 설명 중 옳은 것을 모두 고른 것은?
ㄱ. PV/nRT 값이 클수록 더 쉽게 압축된다.
ㄴ. 부피가 증가함에 따라 분자의 크기 효과는 더 커진다.
ㄷ. 다른 조건이 같으면 a 값이 클수록 더 쉽게 압축된다.
ㄹ. 다른 조건이 같을 때 온도가 높아지면 PV/nRT 값이 1에 더 가까워진다.
① ㄱ, ㄴ
② ㄴ, ㄷ
③ ㄴ, ㄹ
④ ㄷ, ㄹ
⑤ ㄱ, ㄴ, ㄹ
답 : 4
2. 열역학에 관련된 다음 설명 중 옳은 것을 모두 고른 것은?
ㄱ. 열은 상태 성질이면서 크기 성질이다.
ㄴ. 계의 엔탈피가 증가하면 우주의 엔탈피는 감소한다.
ㄷ. 외부 압력이 0인 상태에서 기체 계가 팽창하면 w = 0 이다.
ㄹ. 표준생성엔탈피 ΔHf를 이용하면 일어나지 않는 반응의 반응 엔탈피를 구할 수 있다.
① ㄱ, ㄴ
② ㄴ, ㄷ
③ ㄷ, ㄹ
④ ㄱ, ㄴ, ㄹ
⑤ ㄴ, ㄷ, ㄹ
답 : 3
3. 다음 발견과 실험 또는 장치가 올바로 연결된 것은?
① 원자 핵 - 기름방울 실험
② 동위원소 - 질량 분석계
③ 전자 전하 - 음극선관
④ 양성자 - α 입자
⑤ 전자 - 방사능
답 : 2
4. 화학반응에 대한 다음 설명 중 옳은 것은?
① 산화수가 증가하는 원자를 포함하는 화학종이 환원제이다.
② 화학종 간에 전자를 주고받는 반응은 산-염기반응이다.
③ 이온화합물 수용액을 섞으면 항상 침전이 생성된다.
④ 침전 반응에서는 새로운 화학결합이 생기지 않는다.
⑤ 모든 산화-환원 반응의 알짜 반응은 같다.
답 : 1
5. 다음 설명 중 옳은 것은?
① 이온화합물이 물에 녹으면 이온화한다.
② 용융된 NaCl에는 수화된 이온이 없어 전류가 흐르지 않는다.
③ 수용액에 전류를 흘리면 전자들이 이동하면서 전류가 흐른다.
④ 물 분자들이 수소결합으로 연결되어 있어 물에는 전류가 흐른다.
⑤ 수용액 중의 이온들은 서로 반대 전하를 갖는 이온들이 둘러싸고 있다.
답 : 1
6. 다음 중 기체 분자운동론으로 유도하거나 구할 수 있는 것은?
① 기체의 온도
② 기체의 부피
③ 분자간 인력의 세기
④ 특정 온도에서 특정 분자의 속력
⑤ 특정 운동 에너지를 갖는 기체 분자의 분율
답 : 5
<단답형 문항 : 각 5점> : 단답형 문제는 풀이 과정이 없이 최종 답만을 답안지의 해당 란에 쓰세요.
1. 반응 H^+ + Cl^- + Sn + NO3^- → SnCl6^2- + NO2 + H2O에서 산화수의 절대값이 가장 큰 원자를 포함하는 화학종의 화학식을 쓰고 해당 원자 위에 산화수를 표시하시오.
답 : NO3^-, N : +5

2. 반응 NH3(g) + O2(g) → NO2(g) + H2O(l)의 균형을 맞추시오.
답 : 4NH3(g) + 7O2 → 4NO2 + 6H2O

3. Li이 질소와 반응하여 생성되는 이성분 이온화합물의 화학식을 쓰시오.
답 : Li3N

4. 황산을 만드는 데 쓰이는 삼산화황 SO3는 다음 두 단계 반응을 통하여 얻는다.
S(s) + O2(g) → SO2(g)
2SO2(g) + O2(g) → 2SO3(g)
황 5.00g을 완전히 SO3로 산화시키려고 한다. 350.0℃, 5.25atm에서 필요한 O2의 부피를 L 단위로 구하시오.
답 : 2.28L

5. 373K, 750.0 torr에서 실험식이 CHCl인 어떤 기체 화합물의 밀도를 측정하였더니 3.125g/L였다. 이 화합물의 분자식을 쓰시오.
답 : C2H2Cl2

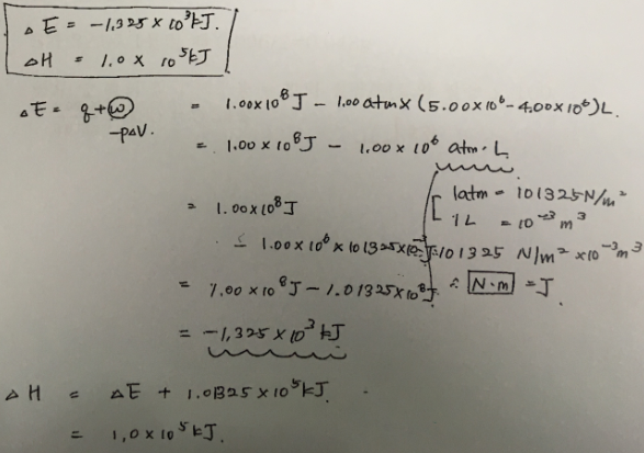
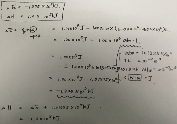
6. 풍선을 가열하여 1.00x10^8J의 열이 풍선으로 공급되었고 부피가 4.00x10^6L에서 5.00x10^6L로 팽창하였다. 외부 압력이 1.00atm으로 일정하였다고 가정하고 이 과정의 ΔE와 ΔH를 kJ 단위로 구하라.
답 :
ΔE = -1.325 x 10^3kJ
ΔH = 1.0 x 10^5kJ

<주관식 문항 : 배점은 문항에 표시.>
주의 : 주관식 문제는 풀이 과정이 없으면 부정행위로 간주하여 0점 처리합니다. 답안지 칸이 부족하면 답안지 뒷면을 이용하세요.
1.(10점) 어떤 액체 연료 중에는 황이 불순물로 들어있다. 이 연료 10.00mL를 완전히 태워 얻은 SO2 기체를 다음과 같이 과산화수소와 반응시켜 모두 황산으로 변화시켰다.
H2O2(aq) + SO2(g) → H2SO4(aq)
이 황산을 중화하는 데 0.1000M NaOH 수용액 30.00mL가 쓰였다. 연료 중의 황의 질량 백분율을 구하라. 이 연료의 밀도는 0.8833g/mL이다.
답 : 0.54%
H2O2(aq) + SO2(g) → H2SO4(aq)
연료 10.00mL
0.1000M NaOH 수용액 30.00mL
연료의 밀도 = 0.8833g/mL
연료의 무게 = 0.8833g/mL x 10.00mL = 8.833g
NaOH 0.1000M x 30.00mL = 3mmol
- 2점
H2SO4 + 2NaOH → 2H2O + Na2SO4 이므로
H2SO4는 1.5mmol 존재한다.
그리고, SO2 역시 1.5mmol 존재한다. (SO2 : H2SO4 = 1 : 1)
- 3점
SO2 1몰일 때 64g이므로
1mol : 64g = 1.5mmol : X
X=0.096g
- 3점
S가 32.07 1몰일 때 0.096/2 = 0.048g
연료 중 황의 질량 백분율 = 황의 질량/연료의 질량 x 100
=0.096/8.833g x 100 =0.54%
-2점
2. (10점) 맹독성 기체인 시안화수소 HCN은 다음 반응으로 만든다.
2NH3(g) + 3O2(g) + 2CH4(g) → 2HCN(g) + 6H2O(g)
반응물에 NH3(g), O2(g), CH4(g)가 각각 5.00g씩 들어 있을 때 생성될 HCN의 질량을 구하라. 단 이 반응 조건에서 이 반응의 퍼센트 수율은 73.0%이다.
답 :
2NH3(g) + 3O2(g) + 2CH4(g) → 2HCN(g) + 6H2O(g)
NH3(g), O2(g), CH4(g) 가 각각 5.00g
1) NH3, 5g
5g x 1mol/17.034g = 0.294mol
- 2점
2) O2, 5g
5g x 1mol/32.00g = 0.156mol
- 2점
3) CH4, 5g
5g x 1mol/16.042g = 0.312mol HCN
- 2점
O2가 한계반응물이므로 0.156mol x 2HCN/3O2 = 0.104mol HCN
- 2점
HCN의 이론적 질량은 0.104mol x 27.03g/mol = 2.811g
이 반응의 퍼센트 수율이 73.0%이므로, 실제 수득량은 2.811g x 0.73 = 2.052g
-2점
(O2가 한계반응물이라는 것 언급 안할 경우 -1 감점)
3.(10점) 아래 자료를 써서 다음 반응의 엔탈피 변화 ΔH를 구하라.
NO(g) + O(g) → NO2(g)
2O3(g) → 3O2(g) ΔH = -427kJ
O2(g) → 2O(g) ΔH =+495
NO(g) + O3(g) → NO2(g) + O2(g) ΔH = -199kJ
답 : -233kJ

(단위 안 쓸 경우 -1 감점, 부분점수 없음)
4. (10점) C, H, N 만을 포함하는 화합물 35.0mg을 완전히 연소시켜 CO2 33.5mg H2O 41.1mg을 얻었다. 또한 어떤 장치에서 이 시료의 분출속도는 24.6mL/min이고 아르곤(Ar)의 분출속도는 26.4mL/min 이었다.
a. 이 화합물이 실험식을 구하라.(6점)
답 : CH6N2
C, H, N만 포함하는 화합물 35.0mg
연소 생성물로 CO2 33.5mg, H2O 41.1mg 얻었으므로
CO2 분자량 : 44g/mol (33.5 x 10^-3g) / 44g/mol = 0.76 x 10^-3 mol
CO2 분자 안의 C 몰수 = 0.76 x 10^-3 mol
H2O 분자량 : 18g/mol ( 41.1 x 10^-3g ) / 18g/mol = 2.283 x 10^-3 mol
(CO2, H2O 각 1점씩)
-2점
N의 몰수를 X라 가정하면
0.76x10^-3mol x 12.01g/mol +4.56x10^-3mol x 1g/mol + X x 14.01g/mol
=35.0 x 10^-3g
따라서 X= 1.52 x 10^-3mol
-2점
C : H : N = 0.76 x10^-3mol : 4.56 x 10^-3 mol : 1.52 x 10^-3mol = 1 : 6 : 2
화합물의 실험식 : CH6N2
-2점

b. 이 화합물의 분자식을 구하라. (4점)
답 : CH6N2
분출속도 (v) ∝ (1/M)^0.5
(M은 화합물의 분자량, 아르곤(Ar)의 원자량 : 39.95g/mol)
화합물의 분출 속도 (v1) = 24.6mL/min
Ar의 분출속도(v2) = 26.4mL/min
v1/v2 = (39.95/M)^0.5에 대입하면, 24.6/26.4 = (39.95/M)^0.5
M = 46.01
-2점
화합물의 실험식 : CH6N2
실험식량 : 12+1x6+14x2 =46
실험식량 X 정수배 = 분자량이므로,
46x X = 46.01
따라서, X=1
화합물의 분자식 : CH6N2
-2점
((a)를 풀지 않고 분자식을 쓴 경우 분자식 점수 없음, 단위 안쓴 경우 (a),(b) 각 -1씩 감점)


'일반화학 족보' 카테고리의 다른 글
일반 화학 “2014년 2학기 기말 시험” (0) 2020.06.13 일반 화학 “2015년 2학기 기말 시험” (0) 2020.06.13 일반 화학 “2016년 2학기 기말 시험” (2) 2020.06.08 일반 화학 “2017년 2학기 기말 시험” (0) 2020.06.08 일반 화학 “2018년 1학기 기말 시험” (0) 2020.06.07