-
일반 화학 “2016년 2학기 기말 시험”일반화학 족보 2020. 6. 8. 02:21
일반 화학 “2016년 2학기 기말 시험”

<5지 선다형: 각 문항 5점>
1. 용액과 총괄성에 대한 다음 설명 중 옳지 않은 것은?
① 설탕물을 얼려 만든 얼음 속에 들어 있는 설탕의 농도는 용액과 같다.
② 역삼투를 일으키기 위해서는 삼투압보다 더 높은 압력을 가해야 한다.
③ 비휘발성 용질이 녹은 용액의 증기압은 항상 순수한 용매보다 낮다.
④ 삼투압은 용매 분자의 무작위한 움직임 때문에 나타난다.
⑤ 소금물 용액이 얼기 시작하면 어는점은 점점 낮아진다.
답 : 1
2. 그림은 황의 상평형 그림이다. 이 그림에 대한 설명 중 옳지 않은 것은?

① 1기압, 110℃에서는 단사황이 가장 안정하다.
② 고체 황도 증기압을 갖는다.
③ 압력을 높이면 고체 황의 녹는점이 증가한다.
④ 이 상평형 그림에는 삼중점이 3개 있다.
⑤ 110℃에서 단사황에 충분한 압력을 가하면 액체로 녹는다.
답 : 5
3. 화학 결합에 대한 다음 설명 중 옳지 않은 것은?
① 결합 에너지는 F-F < Cl-Cl 이다.
② 이온결합은 모두 부분 공유결합성을 갖는다.
③ 공유결합의 결합 길이는 두 원자 간의 퍼텐셜 에너지가 0이 되는 원자 간 거리이다.
④ 두 원자의 결합의 이온결합성은 쌍극자 모멘트의 크기에 비례한다.
⑤ 이온결합의 세기는 격자 에너지로 알 수 있다.
답 : 3
4. 다음 설명 중 옳은 것은?
① 다이아몬드에는 π-결합만 존재한다.
② 육방 최조밀 쌓임 구조의 배위수는 8이다.
③ 물 분자 간에는 수소결합에 의한 인력만 작용한다.
④ 흑연에는 비편재화된 전자가 있기 때문에 전류가 흐른다.
⑤ 절연체에서는 채워진 MO와 빈 MO가 서로 닿아 있다.
답 : 4
5. 다음 설명 중 옳지 않은 것은?
① 원자에서 방출되는 빛이 선 스펙트럼을 보이는 것은 원자의 에너지 준위가 양자화되어 있음을 보여주는 증거이다.
② 전자가 발견될 확률이 최대인 거리는 2s 궤도함수가 2p보다 더 작다.
③ 각운동량 양자수가 l인 부껍질에 채워질 수 있는 최대 전자수는 2(2l+1)개이다.
④ 2s 궤도함수에 전자가 1개 채워지면 이 전자는 마디면으로 분리된 궤도함수의 안과 바깥 영역에 동시에 존재한다.
⑤ 다전자 원자에서 같은 껍질에 속하는 부껍질의 에너지가 서로 다른 것은 각 부껍질의 원자궤도함수의 침투 효과 차이 때문이다.
답 : 2
6. 다음 화합물들 중에서 격자 에너지 값이 가장 작은 것은?
① MgCl2
② NaF
③ MgO
④ KF
⑤ CaO
답 : 4
<단답형 문항 : 각 5점> : 단답형 문제는 풀이 과정이 없이 최종 답만을 답안지의 해당 란에 쓰세요.
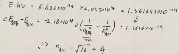
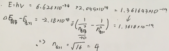
1. 어떤 들뜬 상태에 있는 수소 원자가 있다. 이 원자로부터 전자를 떼어 내어 이온화시키는 데 필요한 빛의 최소 진동수가 2.055x10^14 Hz이었다. 이 들뜬 수소 원자에 들어 있는 전자가 차지하고 있는 궤도함수의 주양자수 n값을 구하라.
답 : n=4

2. 8전자 규칙의 예외인 분자들 중 중심 원자의 원자가 전자의 수가 8개 미만(짝수)인 것과 원자가 전자의 수가 8개를 초과하는 예를 하나씩 찾아 그 Lewis 구조를 답안지에 나타내시오.

답 :
미만 ( BH3, BeCl2, BF3, BeF2, BeH2, BCl3 등 )
초과 ( SF6, PCl5, PF5, PI5, SO4 등)
3. 3주기의 주족 원소 중 바닥 상태에서 짝을 이루지 않은 전자가 1개인 원소를 모두 찾아 원소 기호를 쓰시오.
답 : Na, Al, Cl

4. NaF의 용해엔탈피 △H용해 = +1.9kJ/mol이고 수화엔탈피 △H수화 = -927kJ/mol이다. 다음 과정의 엔탈피 변화를 구하라.
NaF(s) → Na+(g) + F-(g)
답 : 928.9kJ/mol

5. 다음 결합 중에서 결합 에너지가 큰 것부터 차례로 나열하시오.
H-F, Cl-O, F-Cl, O-H
답 : H-F > O-H > F-Cl > Cl-O

6. 40.0℃에서 사염화탄소(CCl4)의 증기압은 213torr, 80.0℃에서는 836 torr이다. 사염화탄소의 증발엔탈피를 kJ/mol 단위로 구하라.
답 : 31.4kJ/mol

<주관식 문항 : 배점은 문항에 표시.>
주의 : 주관식 문제는 풀이 과정이 없으면 부정행위로 간주하여 0점 처리합니다. 답안지 칸이 부족하면 답안지 뒷면을 이용하세요.
1. (10점) 다음 자료로부터 MgF2(s)의 표준 생성 엔탈피 △Hfº를 kJ/mol 단위로 구하라.
F의 전자 친화도 = -328kJ/mol
Mg의 승화 엔탈피 = 150kJ/mol
F2의 결합 에너지 = 154kJ/mol
Mg의 일차 이온화 에너지 = 735kJ/mol
Mg의 이차 이온화 에너지 = 1445kJ/mol
MgF2의 격자 에너지 =-2913kJ/mol
답 : (150+735+1445)+(154-328*2)-2913 = -1085kJ/mol

(150+735+1445)+(154-328*2)-2913=-1085kJ/mol
(설명 없이 계산만 할 경우 맞으면 5점, 부호 틀릴시 -3점)
2. (10점) NaCl의 단위세포에서 Cl- 이온이 완전한 면심입방 구조를 갖는다고 가정하자. Na+ 이온과 Cl- 이온의 반지름은 각각 95.0pm와 181pm일 때,
(a) 단위 세포 중의 Na+ 이온과 Cl- 이온의 수를 구하라. (5점)
답 :
Na+ 모서리 = 12*1/4
중심 = 1*1
3+1 = 4
-2점
Cl- 면 = 6*1/2 = 3
꼭지점 = 8*1/8=1
3+1=4
-2점
(풀이 있어야 +1점해서 총 5점)
(b) NaCl 결정의 밀도를 g/mL 단위로 구하라. (5점)
답 : 2.894g/mL

3. (10점) 어떤 수용액의 어는점은 -2.79℃이다.
(a) 용질의 몰분율을 구하라.(6점)
답 : 0.026

((a)에 *식 안쓰면 0점)
(b) 25℃에서 이 용액의 증기압을 구하라.(4점)
단, 이 온도에서 물의 증기압은 23.76 torr이다.
답 : 23.14torr

4.(10점) KrF2 분자에 대하여 다음에 답하시오.
a. Lewis 구조를 그려라. (고립전자쌍을 모두 표시하라.) (2점)
답 :

b. a의 Lewis 구조에 각 원자의 형식 전하를 표시하라. (2점)
답 : Kr : 0, F : 0
c. F-Kr-F 결합각을 가능한 정확히 쓰시오.(4점)
답 : 180″

d. 분자의 극성 여부를 예측하라.(2점)
답 : 무극성
*주의 : 이 문제는 단계적으로 푸는 문제이므로 a의 답이 틀리면 뒷 문제의 답이 정답이더라도 0점으로 채점합니다.

'일반화학 족보' 카테고리의 다른 글
일반 화학 “2015년 2학기 기말 시험” (0) 2020.06.13 일반 화학 “2016년 2학기 중간 시험” (0) 2020.06.13 일반 화학 “2017년 2학기 기말 시험” (0) 2020.06.08 일반 화학 “2018년 1학기 기말 시험” (0) 2020.06.07 일반 화학 “2017년 2학기 중간 시험” (2) 2020.04.19