-
일반 화학 “2017년 2학기 기말 시험”일반화학 족보 2020. 6. 8. 01:50
일반 화학 “2017년 2학기 기말 시험”

<5지 선다형 : 각 문항 5점>
1. 용액과 총괄성에 대한 다음 설명 중 옳지 않은 것은?
① 삼투압은 용매 분자의 무작위한 움직임 때문에 나타난다.
② 설탕물이 얼기 시작하면 용액 중의 설탕의 농도는 증가한다.
③ 비커의 소금물 용액이 얼기 시작하면 어는점은 점점 낮아진다.
④ 비휘발성 용질이 녹은 용액의 끓는점은 항상 순수한 용매보다 높다.
⑤ 용매와 용액 간의 삼투현상을 멈추게 하려면 용매에 삼투압 만큼의 압력을 외부에서 가해 주어야 한다.
답 : 5
2. 화학 결합에 대한 다음 설명 중 옳은 것은?
① 결합 길이는 두 원자(또는 이온) 간의 퍼텐셜 에너지가 0인 거리이다.
② C=C의 결합 에너지는 C-C 결합에너지의 2배이다.
③ 이온결합은 모두 부분 공유결합성을 갖는다.
④ 무극성 분자에 있는 모든 결합은 극성이 없다.
⑤ 원자 반지름이 클수록 공유결합의 세기는 강하다.
답 : 3
3. 다음 설명 중 옳은 것은?
① 3p 궤도함수는 마디가 2개이다.
② n=3인 껍질 속에는 d 궤도함수가 없다.
③ 수소 원자에서 궤도함수의 에너지는 l값이 결정한다.
④ 원자의 에너지 준위가 양자화되어 있음을 보여주는 실험적 증거는 흑체복사 현상이다.
⑤ 2p 궤도함수에 전자가 2개 채워지면 항상 2px와 2py 궤도함수에 각각 하나씩 나란한 스핀을 가지고 들어간다.
답 : 1
4. 오른편 위의 그림은 황의 상평형 그림이다. 이 그림에 근거하여 추론한 것으로 옳지 않은 것은?

① 고체 황은 승화한다.
② 1기압, 96℃에서는 사방황이 가장 안정하다.
③ 100 기압 하에서 사방황은 녹지 않는다.
④ 압력을 높이면 고체 황의 녹는점이 낮아진다.
⑤ 130℃에서 고체 단사황에 가해지는 압력을 낮추면 액체로 된다.
답 : 4
5. 다음 설명 중 옳은 것은?
① 흑연에는 π-결합만 존재한다.
② 물 분자 간에는 분산력도 작용한다.
③ 육방 최조밀 쌓임 구조의 배위수는 14이다.
④ 다이아몬드에는 이동할 수 있는 전자가 있다.
⑤ 반도체에서는 채워진 MO와 빈 MO가 서로 닿아 있다.
답 : 2
<단답형 문항 : 각 5점> : 단답형 문제는 풀이 과정이 없이 최종 답만을 답안지의 해당 란에 쓰세요.
1. 어떤 액체의 증기압을 여러 온도에서 측정하여 1/T에 대해 ln(P)의 그래프를 그렸더니 직선의 기울기가 -2406K이었다. 이 물질의 발열을 kJ/mol 단위로 구하라.
답 : 20kJ/mol

2. 답안지에 dxy의 모양을 가능한 한 정확히 그리시오.
답 :


d 오비탈은 xyz 축을 기준으로 꼭 외우셔야 합니다. 변형 문제가 매번 나오거든요. 
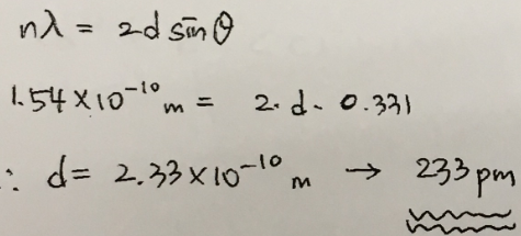
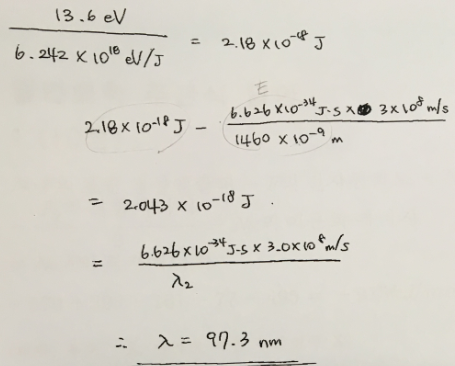
3. 파장이 1.54Å인 X-선을 사용하여 알루미늄 결정을 분석하였더니 θ=19.3도에서 강한 회절 무늬가 관찰되었다. 이 회절 무늬를 만든 원자들의 층과 층 사이의 거리 d를 pm 단위로 구하라. 단, n=1이다.
답 : 233pm

4. 은(Ag)의 바닥상태 전자배치를 써라.
답 : [Kr]4d10 5s1


5. 어떤 진한 질산 용액의 몰농도는 12.00M이다. 이 용액에서 HNO3의 질량백분율을 구하라. 단, 이 진한 질산 용액의 밀도는 1.20g/mL임.
답 : 63%

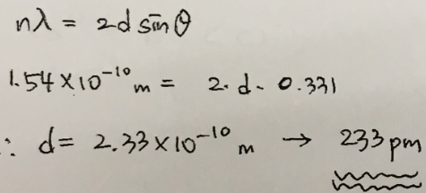
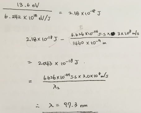
6. 어떤 들뜬 상태에 있는 수소 원자가 있따. 이 원자로부터 전자를 떼어 내어 이온화시키는 데 필요한 빛의 최대 파장이 1460nm이었다. 이 들뜬 수소 원자에 들어 있는 전자가 바닥상태로 전이할 때 방출되는 빛의 파장을 nm 단위로 구하라.
답 : 97.3nm

7. 다음 이온들 중에서 등전자 이온들을 찾아 그 크기가 증가하는 순서로 나열하시오.
Ca^2+ , O^2- , K^+ , Cl^-

답 : Ca^2+, K^+, Cl^-


<주관식 문항 : 각 10점>
주의 : 주관식 문제는 풀이 과정이 없으면 부정행위로 간주하여 0점 처리합니다. 답안지 칸이 부족하면 답안지 뒷면을 이용하세요.
1. (10점) 다음 자료로부터 NaF의 격자 에너지를 kJ/mol 단위로 구하라.
NaF의 표준 생성 엔탈피 △Hfº = -570kJ/mol
F의 전자 친화도 = -328kJ/mol
Na의 승화 엔탈피 = 161kJ/mol
F2의 결합 에너지 = 154kJ/mol
Na의 이온화 에너지 = 495kJ/mol
답 : -570+328-161-77-495=-975kJ/mol
NaF의 표준 생성엔탈피 - F의 전자친화도 - Na 승화엔탈피 - F2의 결합에너지 / 2 - Na의 이온화 에너지
= NaF의 격자 에너지
-570+328-161-77-495=-975kJ/mol
(단위, 부호 -2, 나머지 과정 부분점수 X)
2.(10점) 어떤 금속 원소의 결정은 한 변이 392pm인 면심입방 단위세포의 배열을 가지며 밀도는 21.45g/cm^3이다. 이 금속의 원자량을 g/mol 단위로 구하고 원소 기호를 쓰시오. (실험 오차를 고려하여 최선의 답을 구하라.)
답 : 194.145g/mol, 백금(Pt)

3.(10점) 어떤 포도당(몰질량 180.0g/mol) 수용액의 어는점은 -2.79℃이다. (이상용액으로 가정.)
(a) 이 수용액의 몰랄농도를 구하라.(2점)
답 : 1.5mol/kg
△Tf = Kf x m
m = △Tf / Kf = 1.5mol/kg

(b) 25℃에서 이 용액의 삼투압을 구하라. (5점) 단, 이 수용액의 밀도는 순수한 물과 같다고 가정한다.
답 : 28.88atm
π=MRT, d=1g/ml
m=1.5인 용액의 M=1.5mol/1.27L - 2점
π=1.5mol/1.27L x 0.08206Latm/molK x 298K
=28.88atm - 3점

(c) 포도당의 질량백분율을 구하라.(3점)
답 : 21.26%
m=1.5mol/kg
wt% = 0.27kg/1.27kg x 100 = 21.26% - 3점
4. (10점) 실험적 연구에 의하면 N2O 분자는 선형이며 극성분자이다.
a. 문제에 주어진 실험적 자료를 이용하여 NNO와 NON 배열 중 어느 것이 옳은 배열인지 판단하라.(4점)
답 : NNO 배열
N≡N과 N-O의 반데르발스힘의 차이가 있기 때문에 극성을 띈다. 하지만 NON배열에서 N=O의 반데르발스 힘 차이가 없기 때문에 무극성을 띈다.
따라서, 선형, 극성 구조인 NNO 배열이 옳은 배열이다.
(이것만 쓰면 1점, 설명 다 쓰면 4점)
b. a의 답을 근거로 N2O의 Lewis 구조(공명구조 포함)를 그리고 각 원자의 형식 전하를 표시하라.(6점)
답 :

* 주의 : 이 문제는 단계적으로 푸는 문제이므로 a의 답이 틀리면 뒷 문제는 자동으로 0점으로 채점합니다.

'일반화학 족보' 카테고리의 다른 글
일반 화학 “2016년 2학기 중간 시험” (0) 2020.06.13 일반 화학 “2016년 2학기 기말 시험” (2) 2020.06.08 일반 화학 “2018년 1학기 기말 시험” (0) 2020.06.07 일반 화학 “2017년 2학기 중간 시험” (2) 2020.04.19 일반화학 2015년 2학기 중간 시험 (0) 2020.04.19