-
물리학 실험 보고서 3-6 금속막대의 영률 예비 보고서_Ver1_200516_R0물리학 실험 족보 2020. 5. 16. 16:08
1. 이 실험의 목적은 무엇인가?
Ewing 장치를 이용하여 금속 막대의 Young률을 측정한다.
2. 측정치의 계산에 이용되는 관계식들을 기본 이론에서 찾아 각각의 물리적 의미를 설명하시오.
- 고체의 변형
고체는 이상적인 물체인 강체와는 달리 힘을 받으면 어느 정도 변형된다. 그 힘이 없어졌 을 때 원래의 모양으로 되돌아오면 그 고체는 탄성적이라 한다.
- 변형력
고체의 모양을 변형시키는 변형력은 작용하는 힘 F의 단변멱 A에 대한 비로 나타낸다. 곧,

로 정의한다. 따라서 변형력의 단위는 [N/m`]이다. 만일 힘이 작용하는 단면에 수직하지 않으면 그 힘은 그 면에 수직한 법선력 FN과 면에 나란한 접선력 FT로 분해할 수 있다. 그래서 변형력도

로 나눌 수 있다.
․변형과 탄성률
고체가 변형력을 받아서 나타나는 고체의 처음 크기에 대한 상대적 크기의 변화를 변형 이라 한다.

또한 변형에 대한 변형력의 비를 그 고체의 탄성률이라 한다.

변형에는 길이의 변형, 층 밀리기의 변형, 그리고 체적 변형이 있다. 길이 l0의 막대를 그 단면적 A에 수직하게 FN의 힘으로 당겨서 Δl만큼 늘어났다면 길이의 변형은

이고, 변형력은

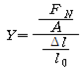
이다. 이런 변형, 변형률을 각각 인장 변형, 인장 변형력이라 한다. 인장 변형력의 인장 변형에 대한 비를 길이의 탄성률 또는 영률이라 하고 Y로 나타낸다.

또는

만일 막대가 압축 변형력을 받으면 길이가 감소하므로 Δl의 부호만 바뀐다. 따라서 영률 은 인장 변형때와 같다.
종이를 쌓아놓고 그 윗변을 따라서 오른쪽으로 밀면 위에서 아래로 갈수록 종이가 미끄 러져 나온 변위가 작아져서 종이를 쌓아놓은 모양이 변한다. 이런 변형을 층밀리기 변형 이라 하고

로 정의한다. 층밀리기 변형력은

이다. 따라서 길이의 탄성률과 같은 방법으로 층 밀리기 탄성률 S는 아래와 같이 주어진다.

또는

층밀리기 변형을 각φ로 나타내기도 한다. 각 φ는

이기 때문에 보통 매우 작 다. 따라서

또는

로 표현할 수 있다.
물체가 물과 같은 유체 속에 잠겨있을 때 모든 방향으로 명에 수직하게 힘을 받는다. 이 경우 변형력은 법선 변형력

이다. 이를 압력이라 한다.

압력의 단위는 [N/m2]이고 이를 파스칼 [Pa]이라 부른다.

이런 압력에 의하여 부피가 감소한다. 따라서 체적 변형은

이고 체적 탄성률 B는

가 된다. ΔV는 압력 P에 의하여 감소한 부피이다.
그림과 같이 길이 L, 단면적 A인 금속 막대에 힘 F를 길이 방향으로 가하여 막대의 길이 를 L+ΔL로 증가시킬 경우, 금속 막대의 Young률 Y는

로 정의된다.
한편 폭 a, 두께 b, 길이 L인 금속막대의 중앙에 질량 M인 추를 달면 휘어지기 모우먼트 와 층밀리기 힘에 의하여 금속막대는 휘어진다. 길이가 매우 긴 가는 금속막대(L>>a, L>>b)의 경우는 휘어지기 모우먼트가 층밀리기 힘보다 휘어지는데 더 큰 영향을 주며, 중 립 위치로부터 아래로 휘어진 막대의 깊이를 H라 하면 금속막대의 Young률 Y는

로 주어진다. 여기서 g는 중력가속도이다.
3. 본 실험의 수행 과정을 블록 다이아그램(block diagram)으로 작성하시오.
시료 막대의 폭 a, 두께 b를 버니어 캘리퍼로 측정
↓
보조막대 A, B사이의 간격 l을 80cm로 하여 장치하고 A, B위에 시료막대를 얹는다.
↓
시료 막대의 중앙에 ㅁ자 걸이를 얹고, 추걸이를 단 후 ㅁ자 걸이 위에 마이크로 미터의 바늘 끝이 가볍게 접촉되도록 장치한다.
↓
추걸이에 추를 하나도 올려놓지 않고 마이크로 미터의 눈금 h0를 기록하며, 이때의 질량을 M0라 한다.
↓
200g의 추를 하나씩 증가시켜가면서 M1, M2, …, M5에 대한 각각의 h1, h2, h3, …, h5를 기록해 간다. 다음은 추를 감소시켜 가면서 M5, …, M2, M1 및 h'5, …, h'2, h'1을 측정한다.
↓
이때 M1-M0, M2-M1, …이 같은 양이 되도록 추를 올려놓는다. 그러면 중앙점의 변위 H는 일정한 질량에 의한 변위가 된다.
'물리학 실험 족보' 카테고리의 다른 글
물리학 실험 보고서_3-11 용수철 진자의 에너지 보존 실험 예비 보고서_Ver1_200516_R0 (0) 2020.05.16 물리학 실험 보고서 3-6 에어트랙을 이용한 무마찰 실험 예비 보고서_Ver1_200516_R0 (0) 2020.05.16 물리학 실험 보고서_5-1 고체의 선팽창 계수 측정 예비 보고서_Ver3_200516_R0 (0) 2020.05.16 물리학 실험 보고서_5-1 고체의 선팽창 계수 측정 예비 보고서_Ver2_200516_R0 (1) 2020.05.16 물리학 실험 보고서_5-1 고체의 선팽창 계수 예비 보고서_200516_R0 (0) 2020.05.16