-
화학과 기기분석1 ㄴ 교수님 2012년 3번째 시험화학과 전공 족보 2020. 4. 29. 01:47
2012-3 (총 114점)
(1)(10점) Beer의 법칙이 성립하지 않는 경우를 열거하고 그 이유를 기술하시오.
(2)(10점) 다중 채널 다이오드 배열 분광광도계(multichannel photodiode array spectrometer)를 그리고, 그 장점을 설명하시오.
(3)(8점) 유기화합물의 σ, π, n 전자의 에너지 상태(energy states)를 고려할 때 UV/VIS(자외선/가시광선) 빛을 화학종이 흡수하면서 생기는 전자전이(electronic transition)의 종류를 분자의 에너지 준위를 그려 나타내시오.
(4)(12점) UV/VIS 흡수 분광법에서 여러 화학종이 존재하는 혼합물 분석(multicomponent analysis)을 할 수 있다. 그 방법을 설명하시오.
(5)(8점) 옆 그림은 quinine의 여기(excitation)와 방출(emission) spectra를 보이고 있다. 왜 이렇게 나왔는지 에너지 준위도를 그려서 설명하시오.

(6)(10점) phosphorescence spectroscopy(인광분광법)에서 fluorescence spectroscopy(형광분광법) 보다 더 필요한 2가지 기기 부품(component)은 무엇이며 왜 사용하는가?
(7)(10점) 어떤 화학종의 UV/VIS absorption spectrum과 fluorescence spectrum이 mirror image 형태로 나타난다면 이 사실에서 어떤 화학적 정보를 얻을 수 있으며 왜 그런가?
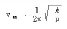
(8)(12점) IR에서 두개의 원자가 진동할 때 그 진동수는 다음 식으로 표현된다.
이를 조화진동자 모델을 이용하여 유도하시오.

(9)(12점) CO2의 기준진동방식(vibrational normal mode)는 모두 몇 개이며 어떤 식으로 하는가? 또 IR spectrum에서 흡수띠(absorption peak)는 몇 개가 발견될 것인가? H2O의 기준진동방식 (vibrational normal mode)는 모두 몇 개이며 어떤 식으로 하는가? 또 IR spectrum에서 흡수띠(absorption peak)는 몇 개가 발견될 것인가?
(10)(10점) FT-IR에서 3가지 간섭계를 동시에 쓰는 것이 일반적이다. 각 간섭계는 무슨 목적으로 사용하는가?
(11)(12점) 감쇄전반사분광법(ATR, attenuated total reflectance)의 원리 및 장점과 어떤 경우에 유용하게 쓰이는가?
'화학과 전공 족보' 카테고리의 다른 글
화학과 기기분석1 ㄴ 교수님 2013년 2번째 시험 (0) 2020.04.29 화학과 기기분석1 ㄴ 교수님 2013년 1번째 시험 (0) 2020.04.29 화학과 기기분석1 ㄴ교수님 2012년 2번째 시험 (0) 2020.04.29 화학과 기기분석1 ㄴ교수님 2012년 1번째 시험 (0) 2020.04.29 화학과 기기분석1 ㄴㅊㅇ 교수님 2016년 3번째 시험 (0) 2020.04.29