-
화학과 기기분석1 ㄴㅊㅇ 교수님 2016년 3번째 시험화학과 전공 족보 2020. 4. 29. 01:39
2016-3(문제당 10점씩 총 110점)
(1) Beer의 법칙이 성립하지 않는 경우를 열거하고 그 이유를 기술하시오.
(2) 1.00cm 길이의 cell에서 8.50 x 10-5 M 농도의 A 화학종은 475 nm와 700 nm에서 각각 0.129와 0.764의 absorbance(흡광도)를 보였다. 4.65 x 10-5 M 농도의 B 화학종은 같은 조건에서 각각 0.567와 0.083의 absorbance(흡광도)를 보였다. 1.50 cm 길이의 cell에서 A와 B 화학종의 혼합용액의 흡광도가 475 nm에서는 0.502이고 700 nm에서는 0.912일 때 A, B 각 화학종의 농도를 구하시오.
(3) photoacoustic effect(광음향 효과)란 무엇인가?
(4) 전자의 에너지 준위도를 염두에 두면서 다음 단어의 의미를 쓰시오.
① 형광(fluorescence) ② 인광(phosphorescence) ③ 내부전환(internal conversion)
④ 외부전환(external conversion) ⑤ 계간전이(intersystem crossing) ⑥ 진동이완(vibrational relaxation)
(5) 어떤 화학종의 UV/VIS absorption spectrum과 fluorescence spectrum이 mirror image 형태로 나타난다면 이 사실에서 어떤 화학적 정보를 얻을 수 있으며 왜 그런지 에너지 준위도를 그려 설명하시오.
(6) IR 분광법에서 근적외선(Near IR), 중간적외선(Mid IR)(2가지 region), 원적외선(Far IR)에 해당하는 IR peaks는 어떻게 나오며 어떤 화학적 정보를 주는가?
(7) 지구온난화, 온실기체란 무엇이며, 대기 중 가장 많이 존재하는 N2, O2, H2O 등을 온실기체로 분류하여 줄이려고 하지 않는 이유는?.
(8) 옆 그림은 CO 가스 검출용 비분산형 적외선 광도계이다. 그림을 참조하면서 CO, CO2, NH3 기체를 포함한 시료 중 어떻게 CO 농도만을 분석하는지 설명하시오. 또 CO, CO2, NH3 혼합물 기체 시료에서 CO만을 선택적으로 분석할 수 있기 위하여 필요한 전제 조건은 무엇인가?

(9) 감쇠전반사분광법(Attenuated Total Reflection, ATR)의 원리와 장점에 대해 쓰시오.
(10) IR과 Raman은 둘 다 분자의 진동 방식(vibrational mode)에 관한 정보를 제공한다. 하지만 두 분석법은 다른 원리로 signal을 만들어 내는데 이를 설명하시오.
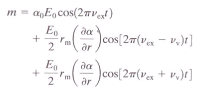
(11) Raman scattering에서 induced dipole moment(m)을 옆의 식으로 유도하시오.

'화학과 전공 족보' 카테고리의 다른 글
화학과 기기분석1 ㄴ교수님 2012년 2번째 시험 (0) 2020.04.29 화학과 기기분석1 ㄴ교수님 2012년 1번째 시험 (0) 2020.04.29 화학과 기기분석1 ㄴ 교수님 2016년 2번째 시험 (6) 2020.04.29 화학과 기기분석1 ㄴ교수님 2016년 1번째 시험 (0) 2020.04.29 화학과 기기분석1 ㄴ 교수님 2015년 3번째 시험 (0) 2020.04.29