-
물리학 실험 보고서_3-9 회전장치에 의한 관성 모멘트 측정 예비 보고서_Ver1_200516_R0물리학 실험 족보 2020. 5. 16. 16:31
1. 이 실험의 목적은 무엇인가?
두 물체로 된 회전체의 관성 모멘트를 측정한다.
2. 측정치의 계산에 사용되는 관계식들을 기본 이론에서 찾아 각각의 물리학적 의미를 설명하시오.
(1) 강체에서 계 내의 질점들은 서로 확고부동한 위치를 지키고 있다. 그런데 이런 강체가 각속력

를 갖고 회전할 경우를 생각해 보자.
회전축에서

의 거리에 있는 질량

의 질점은 각속력

로 반지름

의 원운동을 하게된 다. 이때 이 질점의 선형속도와 운동에너지는 다음과 같다.


강체의 경우는 가 모든 질점에 대해 공통이며 회전축으로부터의 수직거리

은 질점마 다 다르다. 이 강체의 총운동에너지를

라 하면 다음과 같다.

여기서

은 다음과 같이

로 나타내고

이 를 관성 모멘트 혹은 관성능률이라 한다.
의 차원은

이며

는 회전축으로부터 강체 입자간의 수직거리이다. 그리고 불연 속적인 질점들로 이루어지지 않은 연속적인 물체에 대해서는 다음과 같다.

회전운동에 대한 에너지 는 즉,

이 되는데 이는 새로운 물리량이 아니라 단지 물체의 모든 부분에 대한 병진 운동에너 지의 합인 것이다.
(2) 회전축에 감겨진 줄에 질량

의 추를 달아 낙하시킨다. 그러면 회전축에서의 거리가 각 각 만큼 떨어진 질량

의 두 물체계가 회전 에너지 보존법칙에서
계의 처음 역학적 에너지 = 계의 나중 역학적 에너지
이다.


; 추의 질량,

; 회전체 전체(회전축, 수평막대, 두 m )의 관성 모멘트

; 추의 낙하거리

; 추가 h만큼 낙하했을 그 때의 속력

; 그 때까지 걸린 시간
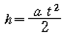
추는 v속도를 얻을 때까지 등가속도 운동을 했으므로 평균속도는

이며 다른 한편

이므로 추가

만큼 낙하하는 지점에 이르러서의 순간 속도는

(혹은

와

에서 구할 수 있음) 이 때의 회전축의 각속도는

식 (1)에

와

를 대입하여 회전체 전체의 관성모멘트

에 대해 구하면

그런데 관성모멘트는 정의에서 알 수 있듯이 동일한 회전축에 대해서라면 중첩이 가능하므로 구하려는 두 물체계의 관성 모멘트는

여기서

는 위 실험에서 두 물체를 빼어내고 같은 방식으로 측정할 수 있다.
3. 본 실험의 수행과정을 블록 다이아그램(block diagram)으로 작성하시오.
(1) 관성 모멘트 측정장치를 설치한다.
↓
(2) 수준기를 사용하여 장치를 수평이 되도록 한다.
↓
(3) 물체 m1, m2는 같은 질량(m)이 되게 하여 회전축에서 같은 거리에 위치하도록 단단히 고정시킨다.
↓
(4) 중심에서 물체 m까지의 거리 r을 측정한다.
↓
(5) 추걸이에 질량 M인 추를 달고 줄을 회전축에 고르게 감아서 추가 임의의 기준점에 있도록 한다.
↓
(6) 초시계를 누름과 동시에 추를 낙하시켜 낙하거리가 hcm(높이는 각자가 적당히 정함) 될 때의 시간을 5회 측정하여 평균을 구한다.(M과 h는 일정하게 유지)
↓
(7) 버니어 켈리퍼를 이용하여 회전축의 직경 2R을 측정한다.
↓
(8) 과정 (4), (6), (7)에서의 측정값으로부터 관성 모멘트 I를

에서 구한다.
↓
(9) 두 물체 m1, m2를 수평 막대로부터 떼어낸 후 과정 (5), (6)를 반복하여 t를 측정하여 구한다.
↓
(10) 과정 (5), (6), (7), (9)의 측정값으로부터 관성모멘트 I0를

에서 구한다.
↓
(11) 과정 (8)의 I에서 과정 (10)의 I0를 빼어, 두 물체의 관성모멘트 I1를 구한다.
↓
(12) (11)의 결과와 이론값 I이론=2mr2을 비교하여 본다.
※ 참고문헌
1) 물리학, 물리학교재편찬위원회,(淸文閣)
2) 숭실대학교 물리학 사이트
'물리학 실험 족보' 카테고리의 다른 글
물리학 실험 보고서_01. 정전기실험(쿨롱의 법칙)_Ver1_200523_R0 (0) 2020.05.23 물리학 실험 보고서_3-1. 힘의 평형과 합성 실험 예비 보고서_Ver1_200516_R0 (0) 2020.05.16 물리학 실험 보고서_3-2 포물선 운동 실험 예비 보고서_200516_R0 (0) 2020.05.16 물리학 실험 보고서_3-11 용수철 진자의 에너지 보존 실험 예비 보고서_Ver1_200516_R0 (0) 2020.05.16 물리학 실험 보고서 3-6 에어트랙을 이용한 무마찰 실험 예비 보고서_Ver1_200516_R0 (0) 2020.05.16