-
화학과 무기화학2 ㅇ 교수님 2017년 1번째 시험화학과 전공 족보 2020. 5. 1. 00:28
화학과 ㅇ교수님의 무기화학2 1차 중간고사입니다.
위 과목은 족보가 무조건 있어야 하는 과목으로 유명하죠
100점 만점에 평균이 90이라니 말도 안되는 점수가 평균이지만
모두가 가지고 있는 족보이니만큼 아래 문제들을 참고하셔서 좋은 성적 받으셨으면 좋겠습니다.
무기화학2
1차 중간고사 (2017. 4. 20)
2017-1
1. 다음 Complex의 이름을 영문(또는 국문)으로 기술하거나 이름을 화학식으로 기술하시오.
(필요한 경우(4번) 정확한 구조를 도시하시오.) (2점*5 = 10점)
1) [Co(en)3] (en: ethylenediamine)
2) cis-[Co(NH3)4Br2]Cl
3) [Pt(NH3)(H2O)BrCl]
4) μ-amido- μ-hydroxobis(tetraamminecobalt)(4+)
5) tetraamminecopper(Ⅱ) sulfate
2. Werner는 [Co(NH3)4Cl2]+의 구조를 추정할 때 가능한 구조의 이성질체의 수와 실험적으로 확인된 이성질체의 수를 비교하여 결정하였다. 주어진 착물의 가능한 구조가 평면육각형(hexagonal planar), 육각뿔(hexagonal pyramidal(Co가 육각뿔의 꼭지점에 위치), 삼각기둥(trigonal prismatic), 역삼각기둥(trigonal antiprismatic), 정팔면체(octahedral) 등이 있다면 각 구조에서 가능한 이성질체의 수를 모두 찾으시오
(2점 * 5 = 10점)
1)
가능한구조
이성질체 수
평면 육각형
육각뿔
삼각기둥
역삼각기둥
정팔면체
실험
2
2) 이 결과를 고려할 때 주어진 착물의 타당한 구조는 무엇인가?
3. 다음 complex의 chirality label(△ 또는 Λ)을 결정하시오. (2점 * 4 = 8점)
1)

2)

3)

4)

4. 다음 화합물간의 관례를 나타내는 isomer의 종류를 기술하시오. (2점*5=10점)
1)

2)

3)

4)

5)

5. Isomerization은 배위수가 4인 경우에서부터 나타난다. [MA2B2]에 대하여 다음에 답하시오.
1) A가 SCN-일 경우 배위하는 원자의 종류가 다름에 따른 isomerism 현상이 나타난다. 이 isomerism의 종류는? (2점)
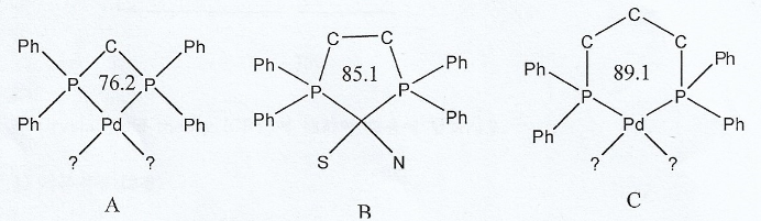
2) SCN-의 배위하는 원자 종류를 예측할 때 보통 steric effect, electronic effect(π-bonding 경쟁), symbiosis가 고려된다. 다음 A, B, C 착물에서 steric factor만을 고려할 때 A와 C의 ?에 배위되는 원자를 명시하고 이유를 간략히 설명하시오. (ring 안의 숫자는 리간드의 bite angle을 나타낸다. bite angle은 배위된 두 원자에 의해 형성된 각도) (5점)

3) 위의 결과를 고려하여 D에 있어서 배위 원자의 실험 결과는 어떠한 요소가 우세하게 작용한 것으로 결론내릴 수 있는가? (3점)

6. 킬레이트 고리를 가진 화합물이 나타나는 extra stability를 소위 chelate effect라고 한다. chelate effect를 나타내는 요인에 대하여 논하시오. (5점)
7.
1) 실험결과

착화합물의 경우 자기모멘트 값

은 5.92 Bohr magneton으로 결정되었다. 이 착물의 중심금속이온에서의 외짝 전자의 개수를 결정하고 M(1주기 전이금속)이 무엇인지를 결정하시오. (3점)
2) 배위화합물의 구조 및 성질을 설명하는 이론 중 원자가 결합이론(Valence Bond Theory: VBT)에 따르면 착물의 자기적 성질에 따라 구조가 결정된다. 위의 착물의 구조를 혼성상태를 확인하여 추론하시오. (3점)
3) 위의 구조에 따르게 될 때 CFT(Crystal Field Theory)에서의 d-orbital splitting pattern을 예측하시오 (2점)
4) 위 착물의 자기적 성질을 표시하는 곡선은 무엇인지 아래 그림에서 찾으시오.(2점)

8. Crystal field theory (CFT)에 대하여 다음에 답하시오.
1) 기본가정(2점)
2) 다음은 tetragonal distortion이 일어날 때의 orbital splitting pattern을 도시한 것이다.


이러한 변화는 소위 Jahn-Teller effect가 나타나는 경우에 나타난다. Jahn-Teller effect에 대하여 간단히 기술하고 d1 configuration을 가질 때 나타나는 orbital splitting pattern을 위의 2가지 경우에서 고르시오(3점)
3) tetragonal distortion 중 z-out이 극한으로 일어나면 square planar 구조가 된다. 이 구조의 d orbital splitting pattern을 도시하시오. (△o 명시할 것) (2점)
4) Oh 구조에서 Jahn-Teller effect가 나타나지 않는 것은? (2점)
(1) d4 (high spin)
(2) d5 (low spin)
(3) d6 (low spin)
(4) d9
(5) d4 (low spin)
5) 다음 중 △o값의 크기에 영향을 미치는 요인에 대한 설명 중 맞지 않는 것은? (2점)
(1) 중심금속의 + 전하가 증가할수록 △o값은 증가한다.
(2) Td구조의 orbital splitting 정도는 Oh 구조에 비해 작으며 이유는 리간드 수가 작고 metal의 d orbital과 리간드 orbital의 orientation이 일치하지 않기 때문이다.
(3) 리간드가 달라지면 상호작용의 크기가 변하여 △o값이 변하며 △o값이 크기순으로 리간드를 나열한 것을 spectrochemical series라고 한다.
(4) 구조와 리간드가 같은 경우 보통 주기율표상에서 밑에 위치하는 금속이 중심금속이 될 경우 △o값은 감소한다.
(5) 높은 압력에서 △o값은 증가하며 blue shift가 나타난다.
6) 다음 중 M과 L사이의 상호작용이 어느 정도의 공유결합적 특성이 존재함을 보여주는 증거로 적절하지 않는 것은?(2점)
(1) 가장 강한 장 리간드 중의 하나인 CO는 매우 작은 dipole moment를 가지고 있다.
(2) metal과 리간드의 radical wave function은 상당한 거리에서도 0이 되지 않아 어느 정도의 겹침(overlap)이 존재한다.
(3) 적절한 에너지를 가진 π acceptor orbital이 존재하여 π bonding을 잘하는 리간드를 가지면 전자구름팽창효과(nephelauxetic effect)가 작게 된다.
(4) complex에서의 전자 간 repulsion은 free ion에서보다 작다.
(5) isolated metal ion에 1개의 d 전자를 가진 경우 electron spin resonance (electron paramagnetic resonance)에서 하나의 peak만 있으나 complex의 경우에는 복잡한 peak가 관찰된다.
7) 다음 중 △o값을 감소시키는 Ligand의 π interaction인 것은? (2점)
(1) π donor with filled p orbital
(2) π acceptor with vacant d orbital
(3) π acceptor with vacant π* orbital
(4) π acceptor with vacant o* orbital
9. CFT (crystal field theory)의 결과

의 조성을 가지는 고체의 구조 중 금속 이온의 종류에 따라 spinel (2가 이온은 Td hole, 3가 이온은 Oh hole 차지) 또는 inverse spienel 구조(3가 이온 1개가 Td hole, 2가 이온과 3가 이온 1개가 Oh hole을 차지)를 가지는 현상을 체계적으로 설명할 수 있었다. 다음의 경우 예상되는 구조를 말하시오. (3점 * 2 = 6점)
(1) Fe3O4
(2) Mn3O4
10. Td 구조의 ML4의 MO diagram을 그리고자 금속이온과 리간드의 상호작용을 group theory를 이용하여 분석하였다.
1) ligand group orbital(LGO)의 symmetry를 분석하기 위하여 σ interaction을 표시하는 reducible representation 의 character를 찾으시오.(3점)
2) reducible representation은 irreducible representation의 선형조합으로 표시되며, 개수는 다음의 식으로 얻어진다.

주어진 character table을 이용하여 적절한 irreducible representation의 계수를 확인하시오.(3점)
3) LGO의 symmetry를 활용하여 MO diagram을 그리시오.(4점)

11. 분자궤도함수이론을 적용할 경우 정량적 수치의 확보에 문제가 있고 보다 다양한 구조와 다양한 리간드를 가지는 경우에 상당한 어려움이 있게 된다. 이러한 어려움을 해결하기 위하여 Angular Overlap method가 개발되었다. 다음의 그림과 표를 이용하여 물음에 답하시오.
1) 평면 사각형 (D4h) 구조에 있어 시그마(σ) 주개 리간드만 있을 때 금속의 d 궤도함수와 σ 주개(donor) 리간드의 σ궤도함수의 에너지 준위 변화를

를 도시하시오. (5점)

2) π 받개(acceptor) 리간드가 있으면 위의 결과에 파이 상호 작용을 추가하면 된다. 이 때 d 궤도함수와 σ 궤도함수, π 궤도함수의 에너지 준위를

를 이용하여 도시하시오.

'화학과 전공 족보' 카테고리의 다른 글
화학과 무기화학2 ㅇ 교수님 2006년 1번째 시험 (0) 2020.05.01 화학과 무기화학2 ㅇ 교수님 2016년 1번째 시험 (0) 2020.05.01 화학과 기기분석1 ㄴ 교수님 2013년 3번째 시험 (0) 2020.04.29 화학과 기기분석1 ㄴ 교수님 2013년 2번째 시험 (0) 2020.04.29 화학과 기기분석1 ㄴ 교수님 2013년 1번째 시험 (0) 2020.04.29